Amity University Noida-B.Tech Admissions 2026
Among top 100 Universities Globally in the Times Higher Education (THE) Interdisciplinary Science Rankings 2026
जेईई मेन 2026 प्रश्न पत्र पीडीएफ (JEE Main 2026 Question Paper PDF) - जेईई मेन एक बहुत ही महत्वपूर्ण एंट्रेंस एग्जाम है, जिसे भारत के प्रतिष्ठित इंजीनियरिंग कॉलेजों में एडमिशन चाहने वाले छात्र देते हैं। एनटीए द्वारा आयोजित इस परीक्षा में प्रश्नों का स्तर आमतौर पर मध्यम से कठिन माना जाता है। आमतौर पर जेईई मेन 2026 का क्वेश्चन पेपर एनसीईआरटी सिलेबस पर आधारित होता है। एनटीए द्वारा जेईई मेन 2026 प्रश्न पत्र 9 अप्रैल को जारी कर दिया गया है। उम्मीदवार आधिकारिक वेबसाइट के माध्यम से जेईई मेन प्रश्न पत्र 2026 की जांच कर सकते हैं। एजेंसी द्वारा प्रोविजनल जेईई मेन आंसर की 11 अप्रैल को जारी कर दी गई है।
जेईई मेन प्रश्न पत्र डाउनलोड करें
This Story also Contains
हमने इस पेज पर जेईई मेन 2026 एग्जाम से जुड़े क्वेश्चन पेपर और एनालिसिस प्रदान किए है, इसलिए इस पेज को बुकमार्क करना न भूलें। एनटीए द्वारा जेईई मेन सेशन 2 का आयोजन 2 अप्रैल से 8 अप्रैल 2026 तक किया गया। हर दिन की परीक्षा की समाप्ति के बाद इस लेख में जेईई मेन परीक्षा प्रश्न पत्र और विश्लेषण तथा प्रश्न पत्र को विस्तार से बताया गया है।
जेईई मेन 2026 अप्रैल 4 शिफ्ट 1 प्रश्न पत्र और समाधान देखें
जेईई मेन 2026 अप्रैल 2 शिफ्ट 1 प्रश्न पत्र समाधान सहित पीडीएफ़: डाउनलोड करें
जेईई मेन 8 अप्रैल के प्रश्न पत्र पर आधारित स्मृति-आधारित प्रश्न नीचे दिए गए हैं। इस प्रश्न पत्र का उपयोग करके आप अपना स्कोर जान सकते हैं और अपनी गलतियों की पहचान कर सकते हैं।


Get expert advice on college selection, admission chances, and career path in a personalized counselling session.
Chemistry








Question 1: In AC series circuit supply voltage V(rms)=100 volts; R=80Ω;XL=80Ω and source frequency is f=50 Hz. Find the power factor 1) 1/2 2) 1/2 3) 34 4) 3/2
Question 2: an xpression of potential energy =AxB+x is given. Then dimensions of (A⋅B) will be ( x is positive here.)
1) MLT−1
2) M1/2L2/3T−2
3) ML3.5 T−2
4) ML1/2 T−2
Question 3: In YDSE experiment a glass slab of thickness 8μ m is introduced in front of a slit. If the central maxima shifts to a position of 4th minima, then find refractive index of glass slab (take λ=500 nm).
Question 4: Electric field at centre of semi-circular ring of radius 10 cm is 100v/m. Find charge on the ring if charge distribution is uniform.
1) 4ε0
2) 20ε0
3) 25ε0
4) 30ε0
Question 5: A point charge particle Q=3C is placed at point A(0,−2,−5) and taken to point B(2,1,3) in the electric field E→=(2xı^+3y2ȷ^+4k^). Find work done by electric field.
1) 75 Joule
2) 135 Joule
3) 89 Joule
4) 105 Joule
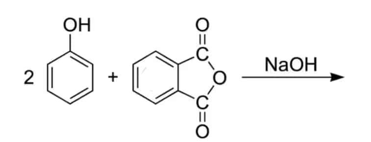
Question 1: Consider the reactions :

Find the no. of moles of benzene formed (if the efficiency of the reaction is 60%)
10.05
20.06
30.03
40.04
Question 2: Match column I & II
| column I 1) Glutamine 2) Cysine 3) Tyrosine 4) serine | column I a) Hinsbeng test 4) Neutral FeCl3 test c) Ceric Ammonium nitrate d) Hoffman broamide degradation |
Among top 100 Universities Globally in the Times Higher Education (THE) Interdisciplinary Science Rankings 2026
Last Date to Apply: 18th May | Ranked #43 among Engineering colleges in India by NIRF | Highest Package 1.3 CR , 100% Placements
Question 3:
Match column I & II
| column I 1) Glutamine 2) Cysine 3) Tyrosine 4) serine | column I a) Hinsbeng test 4) Neutral FeCl3 test c) Ceric Ammonium nitrate d) Hoffman broamide degradation |
Question 4: Match list I & II
![]() |
Recognized as Institute of Eminence by Govt. of India | NAAC ‘A++’ Grade | Upto 75% Scholarships
Ranked #29 in Engineering Category in India by NIRF Ranking 2025 | Highest CTC 1.23 Cr | Average 11.38 LPA | Scholarships Available
Question 5: (CH3)3C−OH→H+/PhCOOH(Cu/573K) major product
Question 6: An oxide of iron contains 69.9% iron. Find its empirical formula. (Given: Atomic masses Fe=56,O=16 )
a) Fe3O4
b) Fe2O3
c) FeO3
d) FeO
Question 7: Given below are two statements.

In light of above statements, choose correct option.
1 Both Statement I and Statement II are correct
2 Statement I is incorrect, Statement II is correct
3 Statement I is correct, Statement II is incorrect
4 Both Statement I and Statement II are incorrect
Question 8: 2,6-Diethylcyclohexanone and 2-propyl-6-methyl cyclohexanone are which type of isomers
(A) F.G.I
(B) Metamers
(C) Tautomers
(D) Position isomers
Question 1:
The value of 13−23+33−43+…+153 is equal to:
(1) 1856
(2) 1854
(3) 1786
(4) 1826
Question 2:
∫−π/4π/432cos4θ1+esinθdθ is equal to
(1) 3π+8
(2)3π+4
(3)4π+8
(4) 4π+4
Question 3:
The value of limx→0x2sin2xx2−sin2x is equal to:
Question 4:
If x1,x2,…,x25 be 25 observations such that ∑i=125(xi+5)2=2500 and ∑i=125(xi−5)2=1000. Then, the ratio of Mean and Standard deviation of the given observations is
(1)14
(2)12
(3) 23
(4) 15
Question 5:
In the expansion of (1+αx)26 and (1−αx)28, the coefficient of the middle term is the same, then the value of α is:
(1)722
(2)727
(3)527
(4) 522
Question 6:
a1,a2,a3,…,an are in A.P., and the sum of the first 10 terms is 160.g1,g2,g3,……gn are in G.P., were g1+g2=8. If the first term of A.P. is equal to the common ratio of G.P. and the first term of G.P. is equal to the common difference of A.P., then the sum of all possible values of g1 is equal to
(1)349
(2)289
(3)233
(4)285
Question 7:
Consider e1 and e2 to be roots of the equation x2−ax+2=0. Set of values of a for which e1 and e2 are eccentricities of hyperbolas then a∈[α,β] and set of values of a for which e1 and e2 are eccentricity of a (4) parabola and an ellipse is ( γ,∞ ) then α2+β2+γ2 is equal to
(1) 26
(2) 24
(3) 18
(4) 32
Question 1:
Escape velocity on earth is ve=2gR. A planet of half the radius of earth will density equal to that of earth, the escape speed shall be veN then N is
Question 2:
Find dimensions of GhC5
1. ML2 T−1
2. M0 L0 T1
3. M0LT−1
4. M0 L0 T−1
Question 1:
Given below are two statements:
Statement I: Glucose is found to exist in two different anomeric form α and β
Statement II: In open chain structure C3, C4, C5 of glucose & fructose both have same orientation
In the light of above statements choose the correct option.
1. Both statement I and statement II are correct
2. Statement I is correct but statement II is incorrect
3. Statement I is incorrect but statement II is correct
4. Both statement I and statement II are incorrect
Question 2:
Given below are two statements:
Statement I: The shape of ICl3−is square planar
Statement II: The shape of ClBr2−is pyramidal
In the light of above statements choose the correct option.
1. Both statement I and statement II are correct
2. Statement I is correct but statement II is incorrect
3. Statement I is incorrect but statement II is correct
4. Both statement I and statement II are incorrect
Question 3:
RMgX reacts with H2O and release gas which has volume 1.4dm3/gm at The gas reacts with Na in presence of dry ther to form " Y ". Find molar mass of x & y.
Question 4:
Benzamide, on reaction with Br2+ NaOH, gives benzenamine (Aniline)
On nitration of aniline, a metaproduct is formed more than its ortho Product
Question 5:
Consider the following equilibrium -
2AB⇌ A2+B2
If equilibrium pressure is P and degree of dissociation is α, then Kp is
1α24(1−α)2
2ρ.α24(1−α)
3ρ.α(1−α)
4ρ.α4(1−α)
Question 1:
The coefficient of x2 in the binomial expansion of (2x2+1x)10 is
1. 3260
2. 3360
3. 1760
4. 1890
Question 2:
If it is given that the probability of A becoming captain of the team is 0.8 and B becoming captain is 0.4 . If A becomes captain, then the chances of the team winning the match are 0.6 , and when B becomes captain, then the chances of winning the match are 0.7 . Then the probability that the team wins the match is:
1. 0.76
2. 0.78
3. 0.74
4. 0.84
Question 3:
Let A={2,3} and B={5,6}. Then, the number of relations from A×B to A×B are
1. 212
2. 216
3. 210
4. 215
Question 4:
A bag contains 4 red balls, 6 yellow balls and 5 blue balls. In how many ways we can select 8 balls such that we get at least two balls of each colour, is:
Question 1:
Match the column
| column I Tollen reagent Fehling solution Williamson's Synthesis Bayer's reagents | Column-II (a) Cu2+/OH− (b) Ag(NH3)2OH (c) R−X+RO−Na+ (d) dil KMnO4 |
(A) I-b, II-a, III-c, IV-d
(B) I-a, II-b, III-c, IV-d
(C) I-b, II-a, III-d, IV-c
(D) I-c, II-a, III-b, IV-d
Question 2:
Manganese forms oxide and fluoride with highest oxidation state. The difference in the highest oxidation state of Mn in the oxide and fluoride is
1)1
2)2
3)3
4)4
Question 3:

Compare the bond length of c=0 ?
1) b>a>c
3) a>b>c
2) b>c>a
4) c>a>b
Question 4: Two atom are bonding along Z-axis. How will π∗ orbital look like : ( Z is inter nuclear axis)

Question 5:
| column I a) Ph−NH2 4) Pn−CHO c)Ph OH d) prop-2-ol | Column-II p) Hinsberg reagent 1) Tollen's regent r) Lucas regent s) Pthallen dye test |
Question 6: Which of the following will have the most stable conjugate acid?

JEE Mains April 4 Shift 2 Questions Maths
Question 1:
If the system of equations
x+y+z=5x+2y+3z=9x+3y+λz=μ has infinite number of solutions. Then, the value of λ+μ is
(1) 18
(2) 23
(3) 21
(4) 22
Question 2:
The number of non-negative integer solution of the equation a+b+2c=22, is
(1) 124
(2) 144
(3) 135
(4) 136
Question 3:
Evaluate (0.2)log5α+(0.04)log5β
if α=14+18+116+…
β=13+19+127+…
(1) 4
(2) 8
(3) 12
(4) 10
Question 4:
Let S={z∈C:z2+4z+16=0. Then ∑z∈S|z+3i|2 is equal to:
(1) 38
(2) 23
(3) 42
(4) 27
Question 5:
If expansion of (9x−13x)18, if the coefficient of term independent of x is 221k, then the value of k is
(1) 82
(2) 83
(3) 84
(4) 86
Question 6:
If the quadratic expression (λ+2)x2−3λx+4λ=0,λ≠−2 has two positive roots, then the number of possible integral values of λ is
(1) 2
(2) 4
(3) 1
(4) 3
Question 7:
If 3i,1 are the roots of x3+ax2+bx+c=0a,b,c∈R. Then ∫−11(x3+ax2+bx+c)dx is
(1)203
(2)103
(3)−203
(4)−103
Question 8:
∫11cot−1(1+x+x2)dx is equal to
(1)2tan−12−12ln5
(2)2tan−12+12ln5
(3)12tan−12−15ln2
(4)12tan−12+15ln2
Question 9:
Let x1,x2,x3,…,x10 be 10 observations such that ∑i=110(xi−1)2=90 and ∑i=110(xi+2)2=180. Then, the standard deviation of x1,x2,x3,…,x10 is:
(1)22
(2)3
(3)9
(4)10
Question 1:
Two strings with length ( l1,l2 ), Young's modulii ( Y1,Y2 ) are elongated under two weights as shown. Find Δl1/Δl2.
a. 3
b. 2/3
c. 4/3
d. 1/3

Question 2:
Consider a ring of radius R, rotates about a horizontal axis as shown. Time period of small oscillate
a. 2π5Rg
b. 2πR2g
c. 2π3R2g
d. 2πRg
Question 3:
Two cars, A \& B, are moving on a road with speeds 100 km/h and 80 km/h. A stone is thrown from Car B with speed Vkm/h relative to it. Stone hit the Car A with speed 5 m/s w.r.t Car A. (ignore gravity.). The V is ____ .
a. 18
b. 38
c. 48
d. 20
Question 4:
List-I presents some physical quantity and list-II presents the dimensions. Match the two list appropriately.
a. A→(3);B→(4);C→(2);D→(1)b. A→(3);B→(1);C→(4);D→(2)c. A→(2);B→(3);C→(4);D→(1)
d. A→(4);B→(3);C→(1);D→(2)
Question 5:
For a biconvex lens, the focal length is f, and both radii of curvature are R. Find the value of f/R
a. 1.25
b. 1.5
c. 2
d. 2.5
Question 6:
Point P at r=10 cm distance from the centres of two bar magnets, each of magnetic moment 35Am. Magnetic field at P is
a. 1.5 mT
b. 2 mT
c. 2.5 mT
d. 4.5 mT

Question 7:
A solenoid has a core made of relative permeability 400 . The magnetic field produced in the interior of the solenoid is 1.0 T . The magnetizing intensity in SI units is α×105. The value of α is −(μ0=4π×10−7)
a. 5π
b. 14π
c. 116π
d. 7π
Question 1:
The initial radius of a soap bubble is 1 cm . It is slowly inflated to a radius of 2 cm . Calculate the work done in expanding the bubble.
(1) 2.63×10−4 J
(2) 1.46×10−4 J
(3) 5.27×10−4 J
(4) 12.64×10−4 J
Question 2:
A rod is placed along principal axis as shown. Find length of image.

1) 10 cm
2) 5 cm
3) 15 cm
4) 20 cm
Question 3:
Nuclei A and B form a nucleus C. BE/N for A, B and C are 3 MeV,7 MeV and 6 MeV. Then energy produced in
2A3+B4→C10
1) 8 MeV
2) 12 MeV
3) 14 MeV
4) 10 MeV
Question 4:
Find coefficient of friction if time taken by block in rough surface is 50% more than time taken by smooth surface. The distance slide by the mass is same in both the cases.

1) μ=5/7
2) μ=5/9
3) μ=4/7
4) μ=4/9
Question 5:
Two 4 bits binary numbers A=1101 and B=1010 are given in the inputs logic circuit shown in the figure. Find the output Y.

a) 1000
b) 1101
c) 0010
d) 0111
Question 6:
A uniform sphere of mass m and radius R is divided into two equal parts one part of sphere has moment inertia about diameter and moment of inertia of disc of radius 2R and mass m about perpendicular axis through its cente is l2. Find l2l1
1) 10
2) 2
3) 5
4) 1
Question 7:
Given R=100Ω and |XL−Xc|=3α, if power factor of series L-CR AC circuit is 0.5 find α
Question 8:
The increase in the pressure required to decrease the volume ( ΔV ) of water is 6.3×107 N/m2. The percentage decrease in the volume is ____
'Bulk modules of water =2.1×109 N/m2 )
Question 1:
Total number of lone pairs and σ bond pairs formed by central atom ( Xe ) in XeO64−
Question 2:
Match the following
| column I (i) Finkestein reaction ii) Swartz Reaction iii) fitting Reaction iv) Sandmeyer reaction | column II P) NaI /Acetone Q) Na /Dry Ether R) Cu2Cl2/HCl S) SbF3 |



Question 1:



Question 3:
Match the List-I and
| List-I (amino acid) (A) Glutamic acid (B) Lysine (C) Arginine (D) Alanine | List-II (P) E (Q) K (R) R (S) A |
Question 4:
Statement I: BP order is HI<HBr<HCl<HF.
Statement II : MP order is HI<HF<HCl<HBr.
1 Statement I and Statement II are correct
2 Statement I is correct and Statement II is wrong
3 Statement I is wrong and Statement II is correct
4 Statement I wrong and Statement II is correct
Question 5:
Benzene → D CH3∣NC32)C2∣NCa3X 3) K2CC2 V7∣H+
Question 6:
Given below are two statements:
Statement I : Maltose is a non-reducing sugar
Statement II: Lactose is a reducing sugar
1 Both statement I and statement II are. correct
2 Statement I is correct but statement II is incorrect
3 Statement I is incorrect but statement II is correct
4 Both statement I and statement II are incorrect
Question 7:

Question 8:
Consider the following reaction

The color of the compound formed is
1 Violet
2 Red
3 Colourless
4 Pink
Question 9:
If the wavelength of first line of Balmer series and of Brackett series of H are respectively λ1 and λ2 espectively, then value of λ1λ2 is
1 0.16
20.04
30.28
$4 \quad 0.35
Question 1:
Let A={1,2,3,4,5} and B={a,b,c}. Then the number of functions which are not onto is/are:
Question 2:
If z be a complex number such that |z+2|=|z−2| and arg(z−3z+i)=π4 then the value of z is
(1) 3i
(2) −3i
(3) 2i
(4) −2i
Question 3:
Let A be a matrix of order 3 such that |A|=−4. Then, the value of |adj(adj(2adj(A))−1)| is:
(1)1216
(2)1228
(3)1230
(4)1220
Question 4:
The number of ways 4 boys and 3 girls are to be arranged in a row so that all 3 girls are not together, is equal to:
(1) 2320
(2) 4320
(3) 4920
(4) 1440
Question 5:
A line with direction ratios 1,−1,2 intersects the lines x2=y3=z+13 and x+1−1=y−21=x4 at the points P and Q respectively. If the length of the line segment PQ is α, then 225α2 is equal to
(1) 1104
(2) 1204
(3) 1024
(4) 1014
Question 6:
y=tan−1(3cosx−4sinx4cosx+3sinx)+tan−1(x1+1+x2), then find dydx at x=32
(1)57
(2)−57
(3)37
(4)−32
Question 7:
The domain of the function cos−1{4π+2[x]3}, where [ ] is greatest integer function, is
(1)[0,34]
(2)[−14,14]
(3)[−14,34]
(4)[−34,14]
Question 8:
Let Sn be the sum of the first n terms of an A.P and an is the nth term of the A.P. If the first term of the given A.P is 103 and S30=a303. Then, the common difference of the given A.P is:
(1)587
(2)583
(3)487
(4)383
कैंडिडेट्स अब नीचे दी गई टेबल से जेईई मेन 2026 जनवरी 28 शिफ्ट 1 का क्वेश्चन पेपर पीडीएफ़ आंसर की के साथ डाउनलोड कर सकते हैं। वे जेईई मेन पेपर का इस्तेमाल आंसर चेक करने, स्कोर का अंदाज़ा लगाने और बेहतर तैयारी के लिए एग्जाम पैटर्न को एनालाइज़ करने के लिए कर सकते हैं।
Question1:
In an equilateral prism, the path of a ray is shown. Determine the refractive index.

(a) 1.71
(b) 1.52
(c) 1.39
(d) 1.84
Question 2:
What is the equivalent gate for the circuit?

(a) AND gate
(b) OR gate
(c) NAND gate
(d) NOR gate
Question 3: A soap bubble of radius r=1 mm, liquid of density ρ1=2000 kg/m3. At the instant, the bubble is rising upward with constant velocity v=12 cm/s. Find the coefficient of viscosity (η).
(a) 29 N−S/m2
(b) 49 N−S/m2
(c) 23 N−S/m2
(d) 89 N−S/m2
Question 4: The surface tension of a soap bubble is 0.03 N/m. The work done in increasing the diameter of the bubble from 2 cm to 6 cm is απ×10−4 J. Find the value of α.
Question 5: The surface tension of a soap bubble is 0.03 N/m. The work done in increasing the diameter of the bubble from 2 cm to 6 cm is απ×10−4 J. Find the value of α.
Question 6. Dimensions of G (Universal gravitational constant) in terms of h (Plank's constant), m (mass) and t (time) and L (Length) will be
A. h−1Lm−2t
B. hL−1 m2t
C. hLm−2t−1
D. h−1L−1m2t−1
Question 7. Position of a particle is given by x=asin(50t+π/3). If speed and acceleration for the first time at time t1&t, respectively. Then t1&t2 are
A. π150,π300
B. π300,π75
C. π50,π150
D. π300,π150
Question 8. Determine the minimum μ so that block do not slip with respect to wall of cylinder

Question 1: Arrange following complexes in increasing order of CFSE ( Δ0 )
(a) [Co(H2O)6]2+
(b) [Co(H2O)6]3+
(c) [Co(en)3]3+
1c>a>b
2c>b>a
3a>b>c
4b>a>c
Question 2:

Question 3:
Consider the reaction given below :

A gives positive Fehling's test. Choose the correct relation.
1) Molar weight of A and molar weight of B are same
2) Molar weight of A is greater than molar weight of B
3) Molar weight of B is greater than molar weight of A
4) ) None of these
Question 4:
The surface tension of a soap bubble is 0.03N/m. The work done in increasing the diameter of the bubble from 2 cm to 6 cm is απ×10−4 J. Find the value of α.
Question 5:

Aromatic compound find out the A & E
Question 6: Molarity of H2SO4 solution is 4.9 M . If density of solution is 1.40 g/ml, then molality and mole fraction of solute In solution is
1 m=5.34,χsolute =0.088
2 m=5.34,χsolute =0.072
3 m=5.21,xsolute =0.088
4 m=5.21,χsolute =0.072
Question 7: The correct set that contains all kinds (basic, acidic, amphoteric and neutral) in Oxides is
a) Na2O,N2O,Al2O3 and CO
b) Al2O3,As2O3,CO and NO
c) K2OCl2O7,As2O3 and NO
d) Na2O,K2O,Al2O3 and AS2O3
Question 8:
List-I (S) P | List-II (A) Insulin (B) Threonine (C) Tyrosine (D) Glutamine (E) Proline |
Question 1:
The value of the sum ∑n=1813+23+…+ upto n terms 1+3+5+… upto n terms is:
Question 2:
f(x) is 5 degree polynomial has extremes at x=±1 and limx→0f(x)x3=5, then f(2)−f(−2) is:
Question 3:
Consider the number N=21PQ5304, where P and Q are digits.
The number of ordered pairs ( P,Q ) such that N is divisible by 9 is:
Options:
(1) 11
(2) 12
(3) 10
(4) 8
Question 4:
If
30C30−r+330C31−r+330C32−r+30C33−r=nCr,
Then the value of n is:
Question 5:
Evaluate the sum
131+13+231+3+13+23+331+3+5+⋯ up to 8 terms.
(1) 71
(2) 70
(3) 73
(4) 72
Question 6:
Evaluate the integral
∫020π(sin4x+cos4x)dx
(1) 15π
(2) 15π2
(3) 25π
(4) 25π2
Question 7:
A regular polygon with n sides is given. Pn denotes no. of triangles formed by joining any three points of given regular polygon. If Pn+1−Pn=66, then the sum of all srime divisors of n is
(1) 9
(2) 5
(3) 11
(4) 23
Question 8:
On tossing a coin, 10 points are obtained if a head appears, 5 points are obined if a tail appears. Find the probability of obtaining 30 points.
(1) 4364
(2) 4463
(3) 4168
हमने आपको नीचे जेईई मेन 2026 जनवरी 28 के क्वेश्चन पेपर शिफ्ट 1 से सभी सब्जेक्ट्स - फिजिक्स, केमिस्ट्री और मैथ्स के मेमोरी-बेस्ड सवाल भी दिए हैं।
Physics







Q6: An object is being dropped from a height h above the ground. Apart from the force of gravity, an additional drag force, F=-kv, acts on the object. Find the graph of v versus t.



Chemistry






Maths






जेईई मेन 2026 जनवरी 28 शिफ्ट 1 के क्वेश्चन पेपर का पूरा एनालिसिस नीचे दिया गया है। इससे आपको सब्जेक्ट के हिसाब से डिफिकल्टी लेवल के साथ-साथ कुल डिफिकल्टी को समझने में मदद मिलेगी। डेटा आपको नीचे दी गई टेबल में दिया गया है:
| विषय / समग्र | कठिनाई स्तर | लंबाई | समय | प्रश्न प्रकृति | मुख्य अवलोकन |
|---|---|---|---|---|---|
| भौतिक विज्ञान | आसान से मध्यम | लघु से मध्यम | ~60 मिनट | फॉर्मूला + कॉन्सेप्ट आधारित | तीनों में सबसे आसान लेकिन दूसरे शिफ्ट की फिजिक्स की तुलना में थोड़ा कठिन; बैलेंस्ड और स्कोरिंग। |
गणित | आसान से मध्यम | लंबा | ~70–80 मिनट | गणना प्रधान + वैचारिक | सबसे कठिन सेक्शन; इसमें बहुत ज़्यादा समय लगता है; इसके लिए अच्छी सटीकता और सिलेक्शन स्ट्रेटेजी की ज़रूरत होती है। |
| रसायन विज्ञान | मध्यम | मध्यम से लंबा (ऑर्गेनिक) | ~55–60 मिनट | कथन-आधारित + नामित प्रतिक्रियाएँ | ऑर्गेनिक का दबदबा था; फ़िज़िक्स में स्टेटमेंट-टाइप सवाल थे; सॉलिड रिवीजन से इन्हें किया जा सकता था। |
| समग्र | मध्यम से कठिन | समग्र रूप से लंबा | समय प्रबंधन महत्वपूर्ण है | कथन आधारित ट्रेंड जारी रहा। | कठिनाई के मामले में मैथ्स > केमिस्ट्री > फिजिक्स; पिछली कई शिफ्टों से ज़्यादा कठिन |
शिफ्ट 2
जेईई मेन 2026 24 जनवरी शिफ्ट 1
सेशन 1 जेईई मेन 2026 तीसरे दिन की परीक्षा 23 जनवरी को सुबह 9 बजे से शुरू हुई और दोपहर 12 बजे तक चली। परीक्षा के समापन के तुरंत बाद छात्रों की प्रतिक्रिया के आधार पर विशेषज्ञों द्वारा जेईई मेन प्रश्न पत्र विश्लेषण जारी किया गया है। जेईई मेन 26 जनवरी 23 की शिफ्ट 1 में शामिल परीक्षार्थियों के अनुसार, 23 जनवरी की शिफ्ट 1 में पूछे गए प्रश्नों का स्तर का स्तर आसान से मध्यम स्तर का रहा। छात्र इस पेज पर जेईई मेन 2026 का क्वेश्चन पेपर समाधान के साथ देख सकते हैं।
ये भी पढ़ें - जेईई मेन 2026 जनवरी 23 शिफ्ट 1 आंसर की | जेईई मेन 2026 जनवरी 23 शिफ्ट 1 क्वेश्चन पेपर देखें
जेईई मेन 2026 जनवरी 22 शिफ्ट 1 प्रश्न पत्र समाधान सहित देखें

जेईई मेन 2026 24 जनवरी शिफ्ट 2 प्रश्न पत्र विश्लेषण
| पैरामीटर | जेईई मेन 2026 – 24 जनवरी शाम की शिफ्ट |
|---|---|
| समग्र कठिनाई स्तर | मध्यम |
| भौतिक विज्ञान | आसान, फ़ॉर्मूला-आधारित, तुलनात्मक रूप से सीधा |
| रसायन विज्ञान | मध्यम से कठिन, लंबा, कथन-आधारित |
| गणित | मध्यम, लेंथी, लंबी गणना थी |
| विषय कठिनाई क्रम | रसायन विज्ञान > गणित > भौतिकी |
| प्रश्न प्रकृति | लंबे, स्टेटमेंट-आधारित, मल्टी-कॉन्सेप्ट वाले प्रश्न |
| समय प्रबंधन | लंबी केमिस्ट्री और मैथमेटिक्स के कारण बहुत महत्वपूर्ण। |
| कक्षावार वेटेज | क्लास 12 की तुलना में क्लास 11 को ज़्यादा वेटेज दिया गया। |
| मॉर्निंग शिफ्ट से तुलना | कुल मिलाकर समान; फिजिक्स आसान, केमिस्ट्री कठिन, मैथ्स थोड़ी आसान। |
| जनवरी 2025 की शिफ्टों से तुलना | थोड़ा और कठिन |
जेईई मेन 2026 के प्रश्न पत्र 21 और 22 जनवरी दोनों की शिफ्टों के लिए नीचे दिए गए हैं। आपको नीचे कुछ प्रश्न मिलेंगे:
जेईई मेन 2026 जनवरी 21 शिफ्ट 1 प्रश्न पत्र | जेईई मेन 2026 परीक्षा 21 जनवरी शिफ्ट 1 आंसर की
22 जनवरी 2026 को आयोजित जेईई मेन्स परीक्षा की शाम की शिफ्ट सुबह की शिफ्ट की तुलना में थोड़ी कठिन थी, जिसमें भौतिकी तीनों में सबसे कठिन विषय था। गणित आसान था और रसायन विज्ञान मध्यम स्तर का था, कुल मिलाकर प्रश्न पत्र मध्यम स्तर का था। आप 22 जनवरी 2026 को आयोजित जेईई मेन्स परीक्षा की दूसरी शिफ्ट के प्रश्न पत्र का विस्तृत विश्लेषण डाउनलोड करके देख सकते हैं।
| विषय | कठिनाई स्तर |
|---|---|
| भौतिक विज्ञान | आसान से मध्यम |
| रसायन विज्ञान | मध्यम |
| गणित | कठिन |
| समग्र | मध्यम |
22 जनवरी की दूसरी शिफ्ट के कुछ प्रश्न नीचे दिए गए हैं:
Question 1:The correct order of electron gain enthalpy (magnitude only) for group 16 elements is
1 Te > Se > S > O
2 S > Se > Te > 0
3 O > S > Se > Te
4 S > O > Se > Te
Question 2: 100 g 98 % by weight H 2 SO 4 is mixed with 100 g 49 % by weight H 2 SO 4 . Mole fraction of H 2 SO 4 solution is
1 0.9
2 0.1
3 0.67
4 0.33
Question 3 :

Question 4:

(1) isopropyl but-1-yne
(2) 2-Methyl hex-2-yne
(3) 5-Methyl Hex-2-yne
(4) 2-Methyl hex - 3-yne
Question :

IUPAC name?
1)2-Bromo-6-methyl propanoate
2) n-propyl-1-bromo-4methyl hexanoate
3) 2Bromo-6-methyl hexyl propanoate
4) n-propyl 2-bromo-5-methyl heptanoate
maths
Question 1: If complex numbers Z 1 , Z 2 , … , Z n satisfy the equation 4 Z 2 + Z ¯ = 0 , then ∑ i = 1 n | Z i | 2 is equal to
1. 3 16
2. 3 64
3. 9 64
4. 1 16
Question 2: Let α , β be the roots of quadratic equation 12 x 2 − 20 x + 3 λ = 0 , λ ∈ Z . If 1 2 ≤ | β − α | ≤ 3 2 then the sum of all possible values of λ is
Question 3: The number of elements in the relation R = { ( x , y ) : 4 x 2 + y 2 < 52 , x , y ∈ z } is
22 जनवरी 2026 को आयोजित जेईई मेन्स परीक्षा के पहले सत्र के प्रश्न पत्र समादान के साथ इस पेज पर उपलब्ध होंगे। प्रसिद्ध कोचिंग संस्थान, आकाश जेईई, श्री चैतन्य आदि 22 जनवरी को आयोजित पहले सत्र की जेईई मेन्स परीक्षा की उत्तर कुंजी जारी करेंगे। उम्मीदवार नीचे कुछ प्रश्न और उत्तर देख सकते हैं।
Ques 3

Ques- 2

Ques 1
Ans- Option 1

जेईई मेन 26 जनवरी 21 शिफ्ट 1 के क्वेश्चन पेपर से कुछ मेमोरी-बेस्ड सवाल नीचे दिए गए हैं। हर सब्जेक्ट - फिजिक्स, केमिस्ट्री और मैथ्स से कुछ सवाल दिए गए है।
Chemistry
Question 1:

Solution: Option (1) is correct
Question 2: For two chemical reactions A and B, if the difference between their activation energy is 20 kJ at 300 K(R=8.3 J K−1 mol−1). Determine lnk2k1.
Question 3: In Carius method, 0.75 g of an organic compound gave 1.2 g of barium sulphate,
Find % of sulphur (molar mass 32 g mol−1.)
Molar mass of barium sulphate is 233 mol−1
(A) 16.48%
B) 4.55%
C) 21.97%
D) 10.30%
Question 4: In 'S' estimation 0.7 g of an organic compound gives 1 g BaSO. in Carius method. What is the % of ' S ' in compound?
1) 19.61
2) 23.85
3) 27.93
4) 14.57
Question 5: 14.0 g of calcium metal is allowed to react with excess HCl at 1.0 atm pressure &273 K. Which of the following statement is incorrect?
(Molar Mass in g mol−1Ca=40,Cl=35.5 )
(a) 0.35 mol of H2 gas is evolved.
(b) The limiting reagent is calcium metal.
(c) 33.3 g of CaCl2 is produced.
(d) 7.84 L of H2 gas is evolved.
Question 6: Which of the following is the correct order with respect to the property indicated?
1 Cl>F (lonisation energy)
2 K2O>Na2O>Al2O3 (Basic nature)
3 K>Na>Al>Mg (Metallic character)
4 None of these
Question 7: Given below are two statements.
Statement 1 : Arginine and Tryptophan are essential amino acids.
Statement 1 : Glycine does not have any chiral carbon.
In the light of the above statements, which is the correct option.
Both statement-I and statement-II are correct
2 Both statement-I and statement-II are incorrect
3 Statement-I is correct and statement-II is incorrect
4 Statement-I is incorrect and statement-II is correct
Question 8:

Solution :
A is nitrobenzene and then nitrobenzene reduced to Aniline
So, B is Aniline and C is
then D is
the final product E is para-nitroaniline.
C6H4NH2NO2=2×14138×100=20.28 so the nearest integer is 20
Hence, 20 is the answer.
Question 9: In the following reaction,
MnO42−→H+
Manganate ion undergoes ion undergoes disproportionation to form
1) MnO2,MnO4−
2) MnO,MnO2
3) MnO2,MnO
4) MnO4−,MnO
Question 10: Observe the following reaction sequence:
(P)→ΔNH3(Q)→Br2,KOH(R)
Which of he following is the correct structure for P, Q and R?

Question 11: 80 mL of organic compound is mixed with 264 mLO2 and ignited. It gives 224 mL of gaseous mixture at NTP. After passing KOH 64 mL of gas - remains. The organic compound is
1C2H4
2C2H2
3C4H10
4C3H6
Question 12: Statement A: But-ene show Optical Isomer.
Statement B: Propanal & Propanone are Functional Group Isomer
Statement C: Pentane & 2, 2-Dimethyl propane are Chain Isomer
Identify the correct statement
(A) Only A & B
(B)Only A &C
(C) Only B & C
(D) All
Question 13: Given below are two statements :
Statement 1 : All the pairs of molecules (PbO,PbO2);(SnO,SnO2) and (GeO,GeO2) contain amphoteric oxides.
Statement II: AlCl3,BH3,BeH2 and NO2 all have incomplete octet.
In the light of the above statements, choose the correct option.
1 Both Statement I and Statement II are correct
2 Both Statement I and Statement II are incorrect
3 Statement I is correct but Statement II is incorrect
4 Statement I is incorrect but Statement II is correct
Question 14:

Maths
Question 1: The value of cosec10∘−3sec10∘:
1. 1
2. 2
3. 4
4. None of these
Question 2: If the roots of x2+x+1=0 are α and β, find
(α+β)4+(α2+β2)4+⋯+(α25+β25)4.
Question 3: If A=[α212], B=[11 β1] and A2−4A+2I=0, B2−2B+I=0, then find |adj(A3−B3)|.
1. 11
2. 7
3. -11
4. 121
Question 4:
∫0π|Sinx+Sin3x+Sin4x|dx
Question 5:
The value of ∫0π/2|sinx+sin2x+sin3x|dx is:
1. 83
2. 73
3. 23
4. 3
Question 6:
If y=y(x) and (1+x2)dy+(1−tan−1x)dx=0 and y(0)=1 then y(1) is
1.π232+π4+12.π232−π4+1
3.π232−π2−1
4.π232−π2+1
Question 7:
The sum of roots of the equation |x−1|2−5|x−1|+6=0 is:
Question 8:
Find all the points on the curve y=x3−3x+1 where the tangent passes through (1,2)
Question 9:
If L1 and L2 are two parallel lines and △ABC is an equilateral triangle then area of triangle ABC is
1.732.43
3.213
4. 84
Question 10:
If α & β are roots of Quadratic eqn x2+x+1=0 then the value of (α+β)4+(α2+β2)4+(α3+β3)4…(α25+β25)4 is
(1) 145
(2) 140
(3) 415
(4) 541
Question 11:
Ellipse E:x236+y216=1, A hyperbola confocal with the ellipse and eccentricity of the hyperbola is equal to 5. The length of the latus rectum of a hyperbola is, if principle axis of the hyperbola is x-axis?
1. 965
2. 245
3.185
4.125
Question 12:
Consider a set S={a,b,c,d}. Then, number of reflexive as well as symmetric relations from S→S are:
1. 1024
2. 256
3. 16
4. 64
Question 13:
If x2+x+1=0, then (x+1x)4+(x2+1x2)4+(x3+1x3)4+…+(x25+1x25)4 is
Question 14:
The locus of the point of intersection of the tangent drawn to the circle (x−2)2+(y−3)2=16, which subtends an angle of 120∘, is:
1. 3x2+3y2−12x−18y−25=0
2. x2+y2−12x−18y−25=0
3. 3x2+3y2+12x+18y−25=0
4. x2+y2+12x+18y−25=0
Question 15:
If a1,a2,a3,… are in increasing geometric progression such that
a1+a3+a5=21a1a3a5=64
then a1+a2+a3 is:
1. 5
2. 7
3. 10
4. 15
Question 16:
Find the sum of rational terms in (2+3)8
Question 17:
Let center of circle C is 0(2,3)& radius of 4. Let A & B are point of contact of tangents, then the locus of points of intersection of tangents if ∠AOB=90∘
Question 18:
In the expansion (ax2+bx+c)(1−2x)26, if coefficient of x,x2 & x3 are −56,0,0 respectively, then find the value of a+b+c.
Question 19:
Find the value of the integral ∫π6π62π+4x111−sin(|x|+π6)dx
Question 20:
If the mean and variance of observations x,y,12,14,4,10,2 is 8 and 16, respectively, where x>y. Then, the value of 3x−y is
1. 18
2. 20
3. 22
4. 24
Question 21:
If A={1,2,3,4,5,6},B={1,2,3,…8,9}. Then the number of strictly increasing functions from A→B such that f(0)≠i ∀ i=1,2,3,4,5,6 are:
Physics
Question 1:

Question 2: Find dimensions of AB if (P+At2B)+12ρV2= constant, where P→ pressure, ρ→ density, V→ speed.
1ML1 T−4
2ML−1 T−4
3ML2 T−4
4ML−1 T−2
Question 3: Find the heat produced in external circuit ( AB ) in one second.

1 1181.25 J
2 1311.25 J
3 1207.50 J
4 1410.50 J
Question 4: A conducting circular loop of area is placed Perpendicular to a magnetic field which varies as, tesla. If the resistance of the they average thermal energy dissipated in the loop in one period is -
Question 5: An α-particle having kinetic energy 7.7 MeV is approaching fixed gold nucleus (atomic number is 79). Find distance of closest approach.
1 1.72 nm
2 6.2 nm
316.8 nm
40.2 nm
Question 6: An air filled capacitor of capacitance C filled with dielectric (k=3) of width d/3, where d is separation between plates. The new capacitance is
195C
254C
343C
497C
| Subject | Major Chapters Asked |
|---|---|
| Physics | Optics, Bernoulli (Fluids), Units & Dimensions, Semiconductor, Current Electricity, Calorimetry, Rotation, NLM, Gravitation, EM Waves, EMI, Electrostatics |
| Chemistry | Coordination, Mole Concept, Chemical Bonding, p-Block, Equilibrium, GOC, Biomolecules, Thermodynamics, Electrochemistry/Redox |
| Mathematics | Vectors & 3D, Conic Sections, Straight Lines & Circle, Sets & Relations, Quadratic, AP/GP, P&C + Probability, Matrices, AOD, Binomial, Trigonometry |
आप नीचे दिए गए स्टेप्स को फॉलो करके जेईई मेन 2026 का क्वेश्चन पेपर डाउनलोड कर सकते हैं:
ऑफिशियल जेईई मेन वेबसाइट पर जाएं: jeemain.nta.ac.in।
"डाउनलोड" या "प्रश्न पत्र" सेक्शन पर क्लिक करें।
दिए गए ऑप्शन में से वह एग्जाम साल और सेशन चुनें जिसे आप डाउनलोड करना चाहते हैं।
क्वेश्चन पेपर को पीडीएफ़ फॉर्मेट में डाउनलोड करने के लिए लिंक पर क्लिक करें।
स्टूडेंट्स एनटीए जेईई मेन्स 2026 सैंपल पेपर की प्रैक्टिस भी कर सकते हैं।
जेईई मेन्स 2026 परीक्षा एनसीईआरटी सिलेबस पर आधारित होगी। आप जेईई मेन 2026 सिलेबस और एनटीए सैंपल पेपर जेईई 2026 डाउनलोड कर सकते हैं और इसका उपयोग करके एग्जाम की अच्छी तरह तैयारी कर सकते हैं। आप जेईई मेन्स 2026 का सिलेबस और एनटीए सैंपल पेपर जेईई 2026 डाउनलोड कर सकते हैं और इसका इस्तेमाल करके एग्जाम की अच्छी तरह तैयारी कर सकते हैं। एग्जाम की तैयारी के लिए, आप पिछले 10 सालों के जेईई मेन के क्वेश्चन पेपर सॉल्व कर सकते हैं। इससे आपको जेईई मेन्स एग्जाम में आने वाले प्रश्नों के पैटर्न, टाइप और डिफिकल्टी लेवल से परिचित होने में मदद मिलेगी।
जेईई मेन 2023, 2024 और 2025 के हाल के ट्रेंड्स के आधार पर, जेईई मेन 2026 का डिफिकल्टी लेवल मॉडरेट रहने की उम्मीद है, जिसमें केमिस्ट्री सबसे आसान और ज़्यादातर एनसीईआरटी-बेस्ड होगी, फिजिक्स में कॉन्सेप्चुअल और फ़ॉर्मूला-बेस्ड प्रश्न होंगे, और कैलकुलेशन की वजह से मैथमेटिक्स लेंथी होगा। ज़्यादातर प्रश्न फिजिक्स में इलेक्ट्रोडायनामिक्स, मैकेनिक्स और मॉडर्न फिजिक्स जैसे ज़्यादा वेटेज वाले टॉपिक से आने की उम्मीद है; केमिस्ट्री में केमिकल बॉन्डिंग, कोऑर्डिनेशन कंपाउंड्स और ऑर्गेनिक रिएक्शन से; और मैथमेटिक्स में अलजेब्रा, कैलकुलस और वेक्टर्स से। पेपर का लगभग 60-70% हिस्सा आसान से मीडियम लेवल का होने की उम्मीद है, जिससे अच्छी तैयारी करने वाले स्टूडेंट्स को स्कोर करने का मौका मिलेगा, जबकि बाकी प्रश्न एनालिटिकल थिंकिंग और टाइम मैनेजमेंट को टेस्ट करेंगे। कुल मिलाकर, एनसीईआरटी में मज़बूत बुनियाद, पीवाईक्यू के साथ लगातार प्रैक्टिस, और रेगुलर मॉक टेस्ट जेईई मेन 2026 में सफलता के लिए बहुत ज़रूरी होंगे।
जेईई मेन 2026 पेपर देने से पहले, स्टूडेंट्स को पिछले साल का क्वेश्चन पेपर, यानी जेईई मेन 2025 का क्वेश्चन पेपर ज़रूर सॉल्व करना चाहिए। यह स्टूडेंट्स के लिए एक ज़रूरी स्टडी मटीरियल है जो उन्हें यह समझने में मदद करेगा कि उनकी तैयारी कैसी चल रही है। आप नीचे जेईई मेन 2025 का क्वेश्चन पेपर देख सकते हैं:
इस सेक्शन में हम जेईई मेन के पिछले सालों के क्वेश्चन पेपर देखेंगे। यह आपके लिए है ताकि आप अपनी परीक्षा में आने वाले प्रश्नों के टाइप से परिचित हो सकें। सिलेबस में बदलाव हुए हैं, इसलिए आपको सिर्फ़ वही प्रश्न हल करने चाहिए जो जेईई मेन 2026 के सिलेबस में शामिल हैं। आप नीचे दिए गए लिंक से जेईई मेन 2026 का पेपर डाउनलोड कर सकते हैं:
अगर आप सब्जेक्ट के हिसाब से पढ़ाई कर रहे हैं और हर सब्जेक्ट के डिटेल उत्तरों के साथ जेईई 2026 मेन्स मॉडल क्वेश्चन पेपर डाउनलोड करना चाहते हैं, तो हमने इसे नीचे दिया है:
पिछले 5 साल के जेईई मेन मैथ्स के प्रश्न पत्र सॉल्यूशन के साथ
पिछले 5 साल के जेईई मेन मैथ्स के प्रश्न पत्र सॉल्यूशन के साथ
पिछले 5 सालों के जेईई मेन फिजिक्स के प्रश्न पत्र सॉल्यूशन के साथ
आप जेईई मेन 2026 सैंपल पेपर की प्रैक्टिस भी कर सकते हैं:
आइए जेईई मेन एग्जाम पैटर्न को समझते हैं और जेईई मेन 2026 के मॉडल प्रश्नों को भी देखते हैं:
नोट: एमसीक्यू में गलत उत्तर पर 1 नंबर की नेगेटिव मार्किंग होगी, लेकिन न्यूमेरिकल प्रश्नों में गलत उत्तर पर कोई नेगेटिव मार्किंग नहीं होगी।
विषय | अनुभाग | प्रश्न का प्रकार | प्रश्नों की संख्या | अंक |
गणित | अनुभाग A | एमसीक्यू | 20 | 80 |
अनुभाग B | संख्यात्मक मान | 5 | 20 | |
भौतिक विज्ञान | अनुभाग A | एमसीक्यू | 20 | 80 |
अनुभाग B | संख्यात्मक मान | 5 | 20 | |
रसायन विज्ञान | अनुभाग A | एमसीक्यू | 20 | 80 |
अनुभाग B | संख्यात्मक मान | 5 | 20 | |
कुल | 75 | 300 मार्क्स |
Frequently Asked Questions (FAQs)
हां, जेईई मेन 2026 का एग्जाम एनटीए द्वारा एनसीईआरटी की टेक्स्टबुक्स का इस्तेमाल करके, उसी सिलेबस के आधार पर तैयार किया जाएगा, जब तक कि इसमें कोई बदलाव न हो।
आपको कुल 75 प्रश्न करने होंगे (तीनों विषयों में 25-25 प्रश्न)।
सेक्शन B के न्यूमेरिकल में गलत उत्तरों के लिए -1 की नेगेटिव मार्किंग भी है।
जेईई मेन दो सेशन में आयोजित किया जा रहा है।
On Question asked by student community
Hello Student,
Kindly use this link.
Hello Student,
I am sharing the college predictor tool with you that will help you determine which are the possible colleges you can get based on your rank in both exams.
Hello Student,
With your percentile and general rank of 7K and the OBC-NCL rank of 2463, you have a decent enough chance to get seats in some NITs . You might have a good chance if you apply through a state quota. You might not get the top NITs, but
Hello Student,
I am sharing the link to the college predictor tool. There, you will get to know the colleges/institutes where you can get admission based on your percentile.
Predictor Tool Link - JEE Main College Predictor
Hello Student,
Yes your candidature is valid. The primary eligibility criterion here is that JEE Advanced can be taken in two consecutive years, which is satisfied in your case.
Among top 100 Universities Globally in the Times Higher Education (THE) Interdisciplinary Science Rankings 2026
Last Date to Apply: 18th May | Ranked #43 among Engineering colleges in India by NIRF | Highest Package 1.3 CR , 100% Placements
NAAC A+ Accredited | Scholarships worth 5 CR | 500+ Recruiters | Highest Package Offered-1 CR
Recognized as Institute of Eminence by Govt. of India | NAAC ‘A++’ Grade | Upto 75% Scholarships
NAAC A+ Accredited | Among top 2% Universities Globally (QS World University Rankings 2026)
NAAC A++ Grade | Recognized as Category-1 Deemed to be University by UGC | 41,000 + Alumni Imprints Globally
