Amity University-Noida B.Tech Admissions 2026
Among top 100 Universities Globally in the Times Higher Education (THE) Interdisciplinary Science Rankings 2026
जेईई मेन 2026 आंसर की (JEE main 2026 answer key in Hindi) - राष्ट्रीय परीक्षा एजेंसी द्वारा फ़ाइनल जेईई मेन पेपर 2 आंसर की 23 फरवरी को जारी कर दी गई है। उम्मीदवार आधिकारिक वेबसाइट के माध्यम से जेईई मेन पेपर 2 फ़ाइनल आंसर की डाउनलोड कर सकते हैं। इससे पहले 19 फरवरी को एजेंसी द्वारा जेईई मेन प्रोविज़नल आंसर की जारी की गई थी। उम्मीदवार 20 फरवरी तक जेईई मेन पेपर 2 आंसर की को चुनौती दे सकते थे। जेईई मेन पेपर 2 आंसर की पर मिली चुनौतियों के निराकरण के बाद जेईई मेन पेपर 2 रिजल्ट 24 फरवरी 2026 को जारी किया गया।
This Story also Contains
राष्ट्रीय परीक्षा एजेंसी द्वारा 16 फरवरी को पेपर 1 जेईई मेन फाइनल आंसर की जारी की गई। उम्मीदवार आधिकारिक वेबसाइट से फाइनल जेईई मेन सेशन 1 आंसर की डाउनलोड कर सकते हैं। 16 फरवरी को जेईई मेन रिजल्ट भी जारी कर दिया गया है। एजेंसी ने 6 फरवरी को प्रोविजनल जेईई मेन 2026 आंसर की चुनौती विंडो बंद कर दी थी। आंसर की पर मिली आपत्तियों के निस्तारण के बाद जेईई मेन फाइनल आंसर की जारी किया गया है।
जेईई मेन फ़ाइनल आंसर की चेक करें। जेईई मेन 2026 आंसर की चेक करें
जेईई मेन पेपर 2 आंसर की सूचना देखें-

ये भी पढ़ें: जेईई मेन क्या होता है?
जेईई मेन 2026 जनवरी 24 शिफ्ट 1 आंसर की पीडीएफ देखें
उम्मीदवार 6 फरवरी तक प्रोविज़नल जेईई मेन आंसर की को जेईई मेन रिस्पांस शीट (jee mains response sheet 2026 in hindi) से मेल करके चुनौती दे सकते थे। उम्मीदवारों को प्रोविज़नल आंसर की को चुनौती देने के लिए प्रति प्रश्न 200 रुपये शुल्क का भुगतान करना था।
जेईई मेन आंसर की सूचना देखें-
जेईई मेन 2026 आंसर की चैलेंज करने के लिए आवश्यक क्रेडेंशियल
जेईई मेन प्रोविजन आंसर की को चुनौती देने की सुविधा केवल पंजीकृत उम्मीदवारों को दी गई है। इसके लिए उन्हें आवेदन संख्या और पासवर्ड की मदद से लॉगिन करना होगा।

इसके अलावा, उम्मीदवार एडमिशन के अपने अवसर का अनुमान लगाने के लिए जेईई मेन 2026 कॉलेज प्रेडिक्टर का उपयोग कर सकते हैं। हालांकि कई कोचिंग संस्थानों ने जनवरी सत्र के लिए अनौपचारिक उत्तर कुंजी ऑनलाइन जारी कर दी है। 21, 22, 23, 24 और 28 जनवरी को आयोजित जेईई मेन 2026 ऑफिशियल आंसर की लिंक इस लेख में नीचे उपलब्ध है। जेईई मेन 2026 का एग्जाम 21 से 29 जनवरी (सेशन 1) के बीच आयोजित किया गया। जेईई मेन के बारे में अधिक जानकारी के लिए उम्मीदवार यह आर्टिकल देख सकते हैं।
जेईई मेन 2026 के छात्रों की प्रतिक्रिया और अनुभव जानें | जेईई मेन 2026 टॉप 30 सबसे महत्वपूर्ण टॉपिक और परीक्षा में रिपीट होने वाले प्रश्न (2016-2025)- डाउनलोड करें


Option: 2















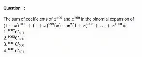
Question 1:



कैंडिडेट्स अब नीचे दी गई टेबल से जेईई मेन 2026 जनवरी 28 शिफ्ट 1 का क्वेश्चन पेपर पीडीएफ़ आंसर की के साथ डाउनलोड कर सकते हैं। वे जेईई मेन पेपर का इस्तेमाल आंसर चेक करने, स्कोर का अंदाज़ा लगाने और बेहतर तैयारी के लिए एग्जाम पैटर्न को एनालाइज़ करने के लिए कर सकते हैं।
हमने आपको नीचे जेईई मेन 2026 जनवरी 28 के क्वेश्चन पेपर शिफ्ट 1 से सभी सब्जेक्ट्स - फिजिक्स, केमिस्ट्री और मैथ्स के मेमोरी-बेस्ड सवाल भी दिए हैं।
Physics







Q6: An object is being dropped from a height h above the ground. Apart from the force of gravity, an additional drag force, F=-kv, acts on the object. Find the graph of v versus t.



Chemistry






Maths







आकाश द्वारा जारी 23 जनवरी शिफ्ट 1 जेईई मेन आंसर की जल्द ही यहां अपडेट की जाएगी।
जेईई आकाश द्वारा जारी 22 जनवरी शिफ्ट 2 जेईई मेन आंसर की देखें:














Option : 2








जेईई मेन आंसर की जेईई आकाश ने 21 जनवरी शिफ्ट 2 के लिए जारी कर दी है।


| परीक्षा की तारीख | शिफ्ट 1 | शिफ्ट 2 |
|---|---|---|
| 21 जनवरी | जेईई मेन 2026 21 जनवरी शिफ्ट 1 आंसर की | जल्द |
Among top 100 Universities Globally in the Times Higher Education (THE) Interdisciplinary Science Rankings 2026
Last Date to Apply: 26th March | Ranked #43 among Engineering colleges in India by NIRF | Highest Package 1.3 CR , 100% Placements
कई कोचिंग संस्थानों ने JEE Mains 2026 की उत्तर कुंजी ऑनलाइन अपलोड कर दी है। उन्होंने स्मृति आधारित प्रश्नों के आधार पर अनौपचारिक JEE Main 2026 शिफ्ट 1 जनवरी 21 आंसर की उपलब्ध कराई है। शिफ्ट-वार जेईई मेन 2026 आंसर की के सीधे लिंक भी इस पेज पर अपडेट कर दिए गए हैं।
यह भी देखें : जेईई मेन 2026 रैंक प्रेडिक्टर |
JEE Aakash द्वारा unofficial JEE Main answer key जारी कर दी गई है।




एनटीए ऑफिशियल जेईई मेन आंसर की 2026 को ऑफिशियल वेबसाइट jeemain.nta.nic.in पर जारी करेगा। कैंडिडेट्स को जेईई मेन 2026 की आंसर की चेक करने के लिए पोर्टल पर लॉग इन करना होगा। अथॉरिटी सबसे पहले जेईई मेन क्वेश्चन पेपर 2026 और रिस्पॉन्स शीट के साथ प्रोविजनल सॉल्यूशन जारी करेगी। उम्मीदवार इस पर आपत्ति उठा सकेंगे। अथॉरिटी सभी आपत्तियों की जांच करेगी और फाइनल जेईई मेन 2026 आंसर की जारी करेगी।
ये भी पढ़ें-
प्राधिकरण आधिकारिक वेबसाइट nta.nic.in पर जेईई मेन 2026 आंसर की (JEE Mains Answer key 2026 in hindi) जारी करने की तारीख की घोषणा करेगा। छात्र आंसर की की उपलब्धता जानने के लिए एनटीए जेईई मेन्स उत्तर कुंजी 2026 रिलीज की तारीख की जांच कर सकते हैं। जेईई मेन आंसर की 2026 की रिलीज की तारीख आधिकारिक रूप से घोषित होने के बाद नीचे दी गई तालिका में अपडेट की जाएगी।
इवेंट्स | जेईई मेन सेशन 1 तिथियां |
जेईई मेन परीक्षा 2026 तिथि | 21,22,23,24 तथा 28 जनवरी, 2026 |
जेईई मेन आंसर की (प्रोविजनल) जारी होने की तिथि | पेपर 1 - 4 फरवरी 2026 पेपर 2 - 19 फरवरी 2026 |
एनटीए जेईई मेन आंसर की चुनौती देने की तिथि | पेपर 1 - 6 फरवरी 2026 पेपर 2 - 20 फरवरी 2026 |
फ़ाइनल जेईई मेन आंसर की तिथि | पेपर 1 - 16 फरवरी 2026 पेपर 2 - 23 फरवरी 2026 |
| जेईई मेन सत्र 1 रिजल्ट | पेपर 1 - 16 फरवरी 2026 पेपर 2 - फरवरी 2026 |
इवेंट्स | जेईई मेन तिथियां |
जेईई मेन परीक्षा 2026 तिथि | 2 से 9 अप्रैल, 2026 |
एनटीए जेईई मेन उत्तर कुंजी 2026 सत्र 2 तिथि (प्रोविज़नल) | पेपर 1- अप्रैल 2026 पेपर 2- अप्रैल 2026 |
एनटीए जेईई मेन आंसर की चुनौती तिथि | पेपर 1- अप्रैल 2026 पेपर 2- अप्रैल 2026 |
फ़ाइनल जेईई मेन आंसर की तिथि | पेपर 1- अप्रैल 2026 पेपर 2- अप्रैल 2026 |
| जेईई मेन 2026 सत्र 2 परिणाम तिथि | पेपर 1- अप्रैल 2026 पेपर 2- अप्रैल 2026 |
जेईई मेन 2026 आंसर की फाइनल डाउनलोड करने के लिए उम्मीदवारों को निम्नलिखित स्टेप्स को फॉलो करना होगा-
एनटीए की आधिकारिक वेबसाइट jeemain.nta.nic.in पर जाएं।
इस विंडो में जेईई मेन्स 2026 आंसर की लिंक पर क्लिक करें।
जेईई मेन आवेदन संख्या और जन्म तिथि - लॉगिन क्रेडेंशियल दर्ज करें
सबमिट बटन पर क्लिक करें और जेईई मेन्स उत्तर कुंजी स्क्रीन पर प्रदर्शित होगी।
एनटीए जेईई मेन आंसर की 2026 पीडीएफ फाइल के रूप में डाउनलोड करें।
जेईई मेन्स आंसर की 2026 (JEE Mains answer key 2026 in hindi) डाउनलोड करने के बाद, उम्मीदवार अपनी प्रतिक्रियाओं की तुलना कर सकते हैं और इस प्रकार, अपने संभावित स्कोर की गणना कर सकते हैं। उम्मीदवारों को अपने तर्क के समर्थन में प्रमाण प्रदान करते समय एनटीए जेईई मेन 2026 आंसर की में दी गई प्रतिक्रियाओं के खिलाफ आपत्तियां उठाने की अनुमति है, जो उन्हें लगता है कि गलत हैं। उठाई गई आपत्तियों पर विशेषज्ञों द्वारा विचार किया जाएगा और फिर अंतिम जेईई मेन उत्तर कुंजी 2026 में बदलाव किए जा सकते हैं।
एनटीए जेईई मेन अनंतिम उत्तर कुंजी 2026 डाउनलोड करने के बाद, उम्मीदवारों को उत्तर कुंजी में उल्लिखित उत्तरों के खिलाफ आपत्तियां उठाने की अनुमति दी जाती है। आपत्तियां उठाने के लिए, उम्मीदवारों को जेईई मेन उत्तर कुंजी के माध्यम से दिए गए प्रश्न आईडी और उत्तर को सही उत्तर के साथ नोट करना होगा और प्रत्येक प्रश्न के लिए 200 रुपये के प्रसंस्करण शुल्क के भुगतान के साथ उम्मीदवारों को दिए गए लिंक के माध्यम से आवेदन करना होगा। जेईई मेन आंसर की को चुनौती देने के लिए, उन्हें नीचे दिए गए चरणों का पालन करना होगा:
एनटीए की आधिकारिक वेबसाइट jeemain.nta.nic.in पर जाएं।
'आंसर की के संबंध में चुनौती' लिंक पर क्लिक करें।
उम्मीदवारों को अब अपने आवेदन संख्या और पासवर्ड का उपयोग करके लॉग इन करना होगा।
जेईई मेन आंसर की में प्रश्न आईडी के साथ-साथ पेपर 1 और 2 दोनों के लिए सही विकल्प वाली आईडी भी शामिल होगी।
यदि कोई त्रुटि लगती है, तो उम्मीदवार एक या अधिक आईडी का चयन करके प्रश्न को चुनौती दे सकते हैं।
अब 'सेव योर क्लेम' पर क्लिक करें और नेक्स्ट पर क्लिक करें।
चुनौती दी गई प्रश्न आईडी स्क्रीन पर प्रदर्शित होगी।
अब उम्मीदवारों को अपने दावे के समर्थन में आवश्यक दस्तावेज़ों की आवश्यकता होगी।
उन्हें इसे पीडीएफ फॉर्म में अपलोड करना होगा और स्क्रीन पर दिखाए गए 'फ़ाइल चुनें' बटन पर क्लिक करना होगा।
अगले चरण में उम्मीदवारों को प्रत्येक आपत्ति वाले प्रश्न के लिए 200 रुपये की प्रोसेसिंग फीस का भुगतान करना होगा। भुगतान क्रेडिट कार्ड/डेबिट कार्ड/नेट बैंकिंग के माध्यम से किया जा सकता है।
जिन उम्मीदवारों के दावे प्रासंगिक साबित होंगे, उन्हे प्रोसेसिंग फीस वापस कर दी जाएगी। इसके अलावा, संबंधित प्रसंस्करण शुल्क का भुगतान किए बिना आपत्तियां उठाने वाले उम्मीदवारों के किसी भी दावे पर विचार नहीं किया जाएगा।
छात्र जेईई मेन 2026 आंसर की का उपयोग करके संभावित स्कोर की गणना कर सकते हैं। जैसा कि जेईई मेन परीक्षा पैटर्न से यह अच्छी तरह से ज्ञात है कि परीक्षा के लिए नकारात्मक अंकन है और सही उत्तर निश्चित रूप से अंक लाते हैं, नीचे दी गई तालिका संदर्भित अंकन योजना को दर्शाती है:
रिस्पांस का प्रकार | अंकन योजना |
सही रिस्पांस | चार अंक दिए जाएंगे |
गलत रिस्पांस | एक अंक काटा जाएगा |
कोई उत्तर नहीं | कोई अंक नहीं |
रिव्यू के लिए चिह्नित | कोई अंक नहीं |
इस प्रकार, जेईई मेन परीक्षा 2026 में संभावित अंकों की गणना करने के लिए, उम्मीदवारों को नीचे दिए गए फॉर्मूले का उपयोग करना होगा
संभावित स्कोर = (सही उत्तरों की संख्या x 4) - (गलत उत्तरों की संख्या)
* यह ध्यान देने योग्य बात है कि गणना किए गए स्कोर को बार-बार संभावित कहा जा रहा है, क्योंकि अधिकारी किसी भी प्रश्न को रद्द कर सकते हैं या यहां तक कि जेईई मेन 2026 उत्तर कुंजी में सही उत्तर को बदल सकते हैं। इस प्रकार, गणना किए गए अंक जेईई मेन्स के अंक वितरण और अंतिम जेईई मेन परिणाम के अनुसार भिन्न हो सकते हैं।
ये भी पढ़ें : जेईई मेन मॉक टेस्ट निःशुल्क - ऑनलाइन टेस्ट सीरीज देखें
कैंडिडेट्स रेफरेंस के लिए पिछले सेशंस के जेईई मेन के क्वेश्चन पेपर और आंसर की देख सकते हैं। जेईई मेन आंसर की और रिस्पॉन्स के लिए टेबल देखें।
JEE Main परीक्षा देने वाले उम्मीदवार नीचे अनऑफिशियल जेईई मेन 2025 जनवरी सेशन की आंसर की देख सकते हैं।
जेईई मेन्स 2025 आंसर की तारीख के अनुसार (अनऑफिशियल)जेईई मेन परीक्षा में बैठने वाले उम्मीदवार जेईई मेन अप्रैल सेशन की अनऑफिशियल आंसर की नीचे देख सकते हैं।
कैंडिडेट्स नीचे दिन-वार जेईई मेन 2024 सेशन 1 की आंसर की देख सकते हैं।
जेईई मेन परीक्षा में बैठने वाले उम्मीदवार JEE मेन अप्रैल सेशन की अनऑफिशियल आंसर की नीचे देख सकते हैं।
कैंडिडेट्स यहां से अप्रैल सेशन की ऑफिशियल जेईई मेन 2023 आंसर की चेक कर सकते हैं।
कैंडिडेट्स नीचे ऑफिशियल जेईई मेन आंसर की 2023 सेशन 1 देख सकते हैं।
जेईई मेन 2026 आंसर की की मदद से, उम्मीदवार अपने संभावित मार्क्स कैलकुलेट कर पाएंगे। स्कोर कैलकुलेट करने के लिए फाइनल जेईई मेन आंसर की को फॉलो करने की सलाह दी जाती है।
| जेईई मेन मार्क्स | जेईई मेन रैंक |
| 300-291 | 1 - 15 |
| 292-280 | 16 - 56 |
| 279-271 | 86 - 125 |
| 268-259 | 142 - 341 |
| 258-250 | 381 - 704 |
| 249-240 | 733 - 1246 |
| 239-230 | 1269 - 1909 |
| 229-220 | 2043 - 3217 |
| 219-210 | 3319 - 4549 |
| 209- 200 | 4647 - 6269 |
| 199-190 | 6488 - 8724 |
| 189- 180 | 8951 - 12197 |
| 179-170 | 12439 - 16524 |
| 169-160 | 16942 - 21710 |
| 159-150 | 22156 - 28132 |
| 149-140 | 28402 - 36243 |
| 139-130 | 36985 - 46047 |
| 129-120 | 47066 - 57991 |
| 119-110 | 59254 - 72925 |
| 109-100 | 74236 - 91426 |
| 99-90 | 93240 - 114780 |
| 89-80 | 117151 - 143434 |
| 79-70 | 1468491 - 184121 |
| 69-60 | 186799- 237626 |
| 59-50 | 243215 - 319343 |
| 49-40 | 327188 - 448730 |
| 39-30 | 460200 - 647703 |
| 29-20 | 678394 935442 |
| 19-10 | 954561 - 1207129 |
| 9-0 | 1222184 - 1390805 |
ये भी पढ़ें -
जेईई मेन काउंसलिंग
जेईई मेन कटऑफ
जेईई मेन के लिए बेस्ट बुक्स
जेईई मेन पार्टिसिपेटिंग इंस्टिट्यूट
Frequently Asked Questions (FAQs)
जेईई मेन आंसर की 2026 आधिकारिक वेबसाइट jeemain.nta.nic.in पर डाउनलोड के लिए उपलब्ध है।
जिन छात्रों को अनंतिम जेईई मेन 2026 आंसर की में दिए गए उत्तरों पर कोई आपत्ति है, तो वे आधिकारिक वेबसाइट के माध्यम से चुनौती दे सकते हैं। फाइनल जेईई मेन 2026 आंसर की को चुनौती नहीं दी जा सकती है।
प्राधिकरण द्वारा जेईई मेन अप्रैल सत्र फ़ाइनल आंसर की परीक्षा के बाद जारी की जाएगी।
हाँ! यदि आपत्ति उचित सहायक दस्तावेजों के साथ वैध पाई गई तो एनटीए जेईई मेन उत्तर कुंजी के लिए चुनौती शुल्क वापस कर देगा।
हां, विभिन्न कोचिंग संस्थान अपनी आधिकारिक वेबसाइटों पर जेईई मेन 2026 की उत्तर कुंजी जारी करेंगे।
JEE Mains की उत्तर कुंजी 4 फरवरी को जारी की गई।
अभ्यर्थी आवेदन संख्या और जन्म तिथि का उपयोग करके वेबसाइट jeemain.nta.nic.in पर जेईई मेन उत्तर कुंजी डाउनलोड कर सकते हैं।
उम्मीदवारों की प्रतिक्रिया के अनुसार, JEE मेन अप्रैल सत्र की परीक्षा मध्यम स्तर की थी। गणित की तुलना में भौतिकी और रसायन विज्ञान आसान थे।
जेईई मेन 2026उत्तर कुंजी प्रोविजनल आधिकारिक वेबसाइट पर अप्रैल में जारी की जाएगी।
हां, और JEE Main रजिस्ट्रेशन सेशन 2 प्राधिकरण द्वारा 1 फरवरी से शुरू कर दिए गए है।
On Question asked by student community
There are tough chances to get into Government colleges through JOSAA. However, you can opt for Food Technology or Textile Technology at the
Indian Institute of Handloom Technology, Salem
National Institute of Food Technology, Entrepreneurship and Management, Thanjavur.
Contact our team for BTech admission counselling.
You have good chances to get
Indian Institute of Handloom Technology, Varanasi
Indian Institute of Carpet Technology, Bhadohi
While you may get some other colleges as well, however, the changes are fewer.
Rajiv Gandhi National Aviation University, Raebareli.
National Institute of Electronics and Information Technology, Gorakhpur
Your chances of getting admission are very low. Refer to the JEE Main college predictor to see which colleges you can get based on your scores.
In JOSAA , it is not possible to change category at the time of counselling. However, if you opt for state counselling, there might be a chance to change the category for final merit.
MBM Jodhpur admission for Mining closes at 4K-5K JEE Main rank. It is hard to get the desired course and college.
Attempt the 2nd session to improve scores.
Among top 100 Universities Globally in the Times Higher Education (THE) Interdisciplinary Science Rankings 2026
Recognized as Institute of Eminence by Govt. of India | NAAC ‘A++’ Grade | Upto 75% Scholarships
Last Date to Apply: 15th March | NAAC A++ Accredited | Accorded institution of Eminence by Govt. of India | NIRF Rank #3
NAAC A++ Grade | Recognized as Category-1 Deemed to be University by UGC | 41,000 + Alumni Imprints Globally
70th University Ranked by NIRF | 80th Engineering Rank by NIRF | Accredited by NBA and NAAC A+
Last Date to Apply: 26th March | Ranked #43 among Engineering colleges in India by NIRF | Highest Package 1.3 CR , 100% Placements