जेईई मेन 2026 अप्रैल 2 शिफ्ट 2 क्वेस्चन पेपर और सॉल्यूशन: एजेंसी द्वारा जेईई मेन अप्रैल 2 शिफ्ट 2 परीक्षा सफलतापूर्वक संपन्न कर ली गई है। एजेंसी जेईई मेन 2026 का 2 अप्रैल, शिफ्ट 2 का आधिकारिक प्रश्न पत्र 9 अप्रैल को जारी की जाएगी। एजेंसी ने अपनी आधिकारिक वेबसाइट jeemain.nta.nic.in पर जेईई मेन 2026 के दूसरे सेशन की आंसर-की जारी करने की तारीख की घोषणा कर दी है। दूसरे सेशन के लिए जेईई मेन 2026 प्रोविजनल आंसर-की का लिंक 11 अप्रैल, 2026 को अपडेट किया जाएगा। उम्मीदवार 200 रुपये प्रति प्रश्न शुल्क का भुगतान करके प्रोविज़नल जेईई मेन आंसर की को चुनौती दे सकते हैं।
This Story also Contains
जेईई मेन अप्रैल 2, शिफ्ट 2 का प्रश्न पत्र 2026, छात्रों द्वारा उपलब्ध कराए गए स्मृति-आधारित प्रश्नों के अनुसार होगा। विषय विशेषज्ञ इस शिफ्ट के कठिनाई स्तर पर भी चर्चा करेंगे। जेईई मेन अप्रैल 2 शिफ्ट 2 आंसर की 2026 के साथ, उम्मीदवार अपने परिणामों का अनुमान लगा सकेंगे। जेईई मेन अप्रैल 2, शिफ्ट 2 (2026) के प्रश्न पत्र और उसके समाधानों की पीडीएफ़ का सीधा लिंक नीचे अपडेट किया जाएगा। जेईई मेन 2026 का बीटेक पेपर 2, 4, 5, 6 और 8 अप्रैल को निर्धारित है।
एनटीए परीक्षा के कुछ दिनों बाद जेईई मेन 2026 आधिकारिक प्रश्न पत्र जारी करेगा। इस बीच, उम्मीदवार जेईई मेन 2026 की 2 अप्रैल, शिफ्ट 2 के प्रश्न पत्र और उसके समाधानों का उपयोग कर सकते हैं। जेईई मेन परीक्षा समाप्त होने के बाद, Careers360 स्मृति-आधारित प्रश्न और छात्रों की समीक्षाएँ उपलब्ध कराई गई है।
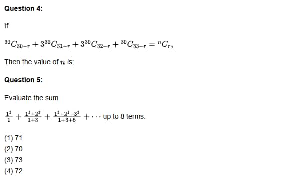
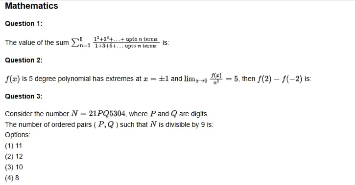
Question1:
In an equilateral prism, the path of a ray is shown. Determine the refractive index.

(a) 1.71
(b) 1.52
(c) 1.39
(d) 1.84
Question 2:
What is the equivalent gate for the circuit?

(a) AND gate
(b) OR gate
(c) NAND gate
(d) NOR gate


Question 8. Determine the minimum μ so that block do not slip with respect to wall of cylinder






Question 8:
On tossing a coin, 10 points are obtained if a head appears, 5 points are obtained if a tail appears. Find the probability of obtaining 30 points.
आप नीचे दी गई तालिका से जेईई मेन 2 अप्रैल शिफ्ट 2 का प्रश्न पत्र डाउनलोड कर सकते हैं। परीक्षा समाप्त होने के बाद लिंक सक्रिय किया जाएगा।
जेईई मेन 2026 अप्रैल 2 शिफ्ट 2 पेपर पीडीएफ़ | जल्द उपलब्ध कराया जाएगा |
Get expert advice on college selection, admission chances, and career path in a personalized counselling session.
जेईई मेन 2 अप्रैल, शिफ्ट 2 प्रश्न पत्र विश्लेषण से संबंधित सभी विवरण नीचे तालिका में अपडेट किए जाएंगे। इससे आपको परीक्षा के कठिनाई स्तर की समझ मिलेगी।
विषय | कठिनाई स्तर | मुख्य अवलोकन |
जल्द उपलब्ध कराया जाएगा | जल्द उपलब्ध कराया जाएगा | |
जल्द उपलब्ध कराया जाएगा | जल्द उपलब्ध कराया जाएगा | |
जल्द उपलब्ध कराया जाएगा | जल्द उपलब्ध कराया जाएगा |
इस लेख में आपको जेईई मेन 2026 के 2 अप्रैल, शिफ्ट 2 के पेपर में पूछे गए स्मृति-आधारित प्रश्न मिलेंगे। इससे आपको रियल टाइम में अभ्यास करने में मदद मिलेगी, क्योंकि यह ऐसी जानकारी है जो आपको सीधे उन छात्रों से मिल रही है जिन्होंने अभी-अभी अपनी परीक्षा दी है। यदि आपकी परीक्षा बाद की शिफ्ट में है, तो आप इस जानकारी का उपयोग यह जानने के लिए कर सकते हैं कि प्रश्न कितने कठिन या आसान होंगे।
जेईई मेन 2 अप्रैल के पेपर (शिफ्ट 2) के बाद, Careers360 का यूट्यूब चैनल लाइव है। लाइव एनालिसिस का लिंक आपको नीचे दिया गया है।
जेईई मेन 2026 अप्रैल 2 शिफ्ट 2 आंसर की (JEE Main 2026 April 2 Shift 2 Answer Key)
जेईई मेन 2026 की 2 अप्रैल, शिफ्ट 2 की आंसर की और विस्तृत हल इस सेक्शन में यहाँ अपडेट किए जाएंगे। यदि आपने इस शिफ्ट में परीक्षा दी है, तो आप सही उत्तर देख पाएंगे और उसी के अनुसार अपने अंकों का अनुमान लगा सकते हैं।
अप्रैल सत्र की कठिनाई का पैटर्न जनवरी सत्र जैसा ही रहेगा। इसलिए, आप अप्रैल सत्र की तैयारी के लिए दिन-वार पेपर्स का इस्तेमाल कर सकते हैं। इससे आपको यह पता लगाने में मदद मिलेगी कि जेईई मेन का 2 अप्रैल, शिफ्ट 2 का पेपर पिछली शिफ्ट की तुलना में कितना आसान या कठिन होगा।
पिछले वर्षों के प्रश्न पत्रों का अभ्यास करना अनिवार्य है। आप नीचे दिए गए लिंक्स का उपयोग करके, हल सहित प्रश्नों को डाउनलोड कर सकते हैं तथा उनका अभ्यास कर सकते हैं।
आप जेईई मेन 2026 के अप्रैल सेशन के लिए अपेक्षित अंकों और परसेंटाइल स्कोर की जानकारी नीचे देख सकते हैं:
मार्क्स | संभावित परसेंटाइल |
300 – 291 | 100 – 99.999 |
290 – 280 | 99.998 – 99.996 |
279 – 271 | 99.994 – 99.991 |
268 – 259 | 99.990 – 99.976 |
258 – 250 | 99.974 – 99.952 |
249 – 240 | 99.950 – 99.915 |
239 – 230 | 99.913 – 99.870 |
229 – 220 | 99.861 – 99.781 |
219 – 210 | 99.774 – 99.691 |
209 – 200 | 99.684 – 99.575 |
199 – 190 | 99.560 – 99.408 |
189 – 180 | 99.393 – 99.173 |
179 – 170 | 99.156 – 98.879 |
169 – 160 | 98.851 – 98.528 |
159 – 150 | 98.498 – 98.092 |
149 – 140 | 98.074 – 97.543 |
139 – 130 | 97.492 – 96.878 |
129 – 120 | 96.809 – 96.068 |
119 – 110 | 95.983 – 95.056 |
109 – 100 | 94.967 – 93.802 |
99 – 90 | 93.679 – 92.218 |
89 – 80 | 92.058 – 90.276 |
79 – 70 | 90.044 – 87.518 |
69 – 60 | 87.336 – 83.890 |
59 – 50 | 83.511 – 78.351 |
49 – 40 | 77.819 – 69.579 |
39 – 30 | 68.802 – 56.091 |
29 – 20 | 54.010 – 36.584 |
19 – 10 | 35.288 – 18.166 |
9 – 0 | 17.145 – 5.714 |
पिछले रुझानों के आधार पर, यह तालिका आपको अनुमान प्रदान करती है कि प्रत्येक श्रेणी के लिए संबंधित जेईई मेन कट-ऑफ क्या रहने की उम्मीद है।
श्रेणी | अनुमानित कट-ऑफ |
सामान्य (यूआर) | 93 – 95 |
ओबीसी-एनसीएल | 80 – 82 |
ईडब्ल्यूएस | 80 – 82 |
एससी | 60 – 62 |
एसटी | 47 – 49 |
जेईई मेन रैंक प्रेडिक्टर का उपयोग करके, आप अप्रैल सत्र समाप्त होने के बाद अपनी रैंक का अनुमान लगा सकते हैं। इससे आपको एक स्पष्ट एजेंडा तय करने और यह अनुमान लगाने में मदद मिलेगी कि इस प्रतियोगिता में आप कहाँ खड़े हैं। इसलिए, आप अपनी रैंक/अनुमानित अंकों का उपयोग करके यह पता लगाने के लिए जेईई मेन कॉलेज प्रेडिक्टर टूल का भी इस्तेमाल कर सकते हैं कि आप किन कॉलेजों के लिए पात्र हो सकते हैं।
एनटीए द्वारा अप्रैल सेशन जेईई मेन 2026 के लिए 20 अप्रैल, 2026 को रिजल्ट की तारीख बताई गई है। इस सेशन के खत्म होने के बाद, आप अपनी सबसे अच्छी रैंक के आधार पर कॉलेजों में एडमिशन के लिए अप्लाई कर सकते हैं और उसी के अनुसार अपनी आगे की यात्रा की तैयारी कर सकते हैं। शुभकामनाएँ!
On Question asked by student community
Hello Student,
Please find the rank predictor tool in the following link.
Link - JEE Main Rank Predictor 2026
65 per cent in the 12th board is not eligible for the JoSAA . You must have atleast secure 75% (65% for SC/ST/PwD) in Class 12. With 58 in the JEE Mains 2026 January attempt, you can expect a CRL rank from 6-7 lakh+. Therefore, you can expect admission into
With 97.14% in JEE Mains as a Gen EW S female candidate, you secured a strong position in the Mid-tier NITs, IITs, and GFTs institutes. You should focus now on JEE Advanced to unlock your top IIT opportunities.
With a 94%ile in JEE Mains with the EWS category, you secured a strong position in CSE at the government college in UP. You should prioritize counseling for MMMUT Gorakhpur, HBTU Kanpur, or lower-ranked NITs/IIITs where EWS category can significantly improve your chances.
With 88%ile in JEE Main and 956 marks in IPE, your chances of getting ECE in the Sastra Tanjavur campus are heavily dependent on the final cutoff. At Sastra Tanjavur, admission to ECE is competitive but possible.
Among top 100 Universities Globally in the Times Higher Education (THE) Interdisciplinary Science Rankings 2026
Last Date to Apply: 29th April | Ranked #43 among Engineering colleges in India by NIRF | Highest Package 1.3 CR , 100% Placements
Recognized as Institute of Eminence by Govt. of India | NAAC ‘A++’ Grade | Upto 75% Scholarships
Last Date to Apply: 26th April | NAAC A++ Accredited | NIRF Rank #3
NAAC A++ Grade | Recognized as Category-1 Deemed to be University by UGC | 41,000 + Alumni Imprints Globally
NAAC A+ Accredited | Among top 2% Universities Globally (QS World University Rankings 2026)
