Amity University Noida-B.Tech Admissions 2026
Among top 100 Universities Globally in the Times Higher Education (THE) Interdisciplinary Science Rankings 2026
जेईई मेन प्रश्न पत्र (JEE Main Question Papers in Hindi) - राष्ट्रीय परीक्षा एजेंसी द्वारा जेईई मेन 2026 परीक्षा सत्र 2 का आयोजन 2 अप्रैल से 8 अप्रैल 2026 तक सफलतापूर्वक किया गया। एजेंसी द्वारा एक अधिसूचना जारी करते हुए जेईई मेन प्रश्न पत्र जारी करने की तिथि की घोषणा की गई है। इसके साथ ही जेईई मेन प्रश्न पत्र एजेंसी द्वारा 9 अप्रैल को जारी कर दिया गया है। उम्मीदवार आधिकारिक वेबसाइट या इस लेख में दिए गए लिंक के माध्यम से जेईई मेन क्वेस्चन पेपर डाउनलोड कर सकते हैं। एजेंसी द्वारा प्रोविजनल जेईई मेन आंसर की 11 अप्रैल को जारी कर दी गई है।
आधिकारिक जेईई मेन प्रश्न पत्र डाउनलोड करें
जेईई मेन क्वेस्चन पेपर और आंसर की सूचना देखें
This Story also Contains
आगामी जेईई मेन परीक्षा में शामिल होने की योजना बना रहे उम्मीदवार इस पेज पर जेईई मेन 2026 सत्र 2 प्रश्न पत्र देख सकते हैं। उम्मीदवार ऑनलाइन जेईई मेन 2026 के प्रश्न पत्र और उनके उत्तर (JEE Main question papers 2026 with solutions online in hindi) देख सकते हैं। इनसे उम्मीदवार जेईई मेन्स 2026 परीक्षा में अपने संभावित स्कोर की गणना कर सकते हैं। उम्मीदवार यहां शिफ्ट-वार जेईई मेन 2026 प्रश्न पत्र का PDF (JEE main 2026 question paper PDF in hindi) भी देख सकते हैं। इससे अगले सत्र के लिए जेईई मेन परीक्षा के कठिनाई स्तर का अनुमान लगाने में मदद मिलेगी।
जेईई मेन प्रश्न पत्र हिंदी मीडियम | क्या जेईई मेन्स 2026 में कैलकुलेटर की अनुमति है?
अनौपचारिक स्रोतों द्वारा जारी की गई जेईई मेन की नवीनतम आंसर की देखें। संबंधित प्राधिकरण ने जेईई मेन 2026 के दूसरे सत्र (सेशन 2) की 6 अप्रैल को आयोजित पहली पाली (शिफ्ट 1) की परीक्षा संपन्न कर ली है। नीचे जेईई मेन अप्रैल 2026 की पहली पाली के प्रश्न पत्र और उनके हल (Solutions) की पीडीएफ़ इमेज दी गई है।
Get expert advice on college selection, admission chances, and career path in a personalized counselling session.
जेईई मेन 8 अप्रैल के प्रश्न पत्र पर आधारित स्मृति-आधारित प्रश्न नीचे दिए गए हैं। इस प्रश्न पत्र का उपयोग करके आप अपना स्कोर जान सकते हैं और अपनी गलतियों की पहचान कर सकते हैं।


Chemistry








Question 1: In AC series circuit supply voltage V(rms)=100 volts; R=80Ω;XL=80Ω and source frequency is f=50 Hz. Find the power factor 1) 1/2 2) 1/2 3) 34 4) 3/2
Question 2: an xpression of potential energy =AxB+x is given. Then dimensions of (A⋅B) will be ( x is positive here.)
1) MLT−1
2) M1/2L2/3T−2
3) ML3.5 T−2
4) ML1/2 T−2
Question 3: In YDSE experiment a glass slab of thickness 8μ m is introduced in front of a slit. If the central maxima shifts to a position of 4th minima, then find refractive index of glass slab (take λ=500 nm).
Question 4: Electric field at centre of semi-circular ring of radius 10 cm is 100v/m. Find charge on the ring if charge distribution is uniform.
1) 4ε0
2) 20ε0
3) 25ε0
4) 30ε0
Question 5: A point charge particle Q=3C is placed at point A(0,−2,−5) and taken to point B(2,1,3) in the electric field E→=(2xı^+3y2ȷ^+4k^). Find work done by electric field.
1) 75 Joule
2) 135 Joule
3) 89 Joule
4) 105 Joule
Question 1: Consider the reactions :

Find the no. of moles of benzene formed (if the efficiency of the reaction is 60%)
10.05
20.06
30.03
40.04
Question 2: Match column I & II
| column I 1) Glutamine 2) Cysine 3) Tyrosine 4) serine | column I a) Hinsbeng test 4) Neutral FeCl3 test c) Ceric Ammonium nitrate d) Hoffman broamide degradation |
Among top 100 Universities Globally in the Times Higher Education (THE) Interdisciplinary Science Rankings 2026
Last Date to Apply: 18th May | Ranked #43 among Engineering colleges in India by NIRF | Highest Package 1.3 CR , 100% Placements
Question 3:
Match column I & II
| column I 1) Glutamine 2) Cysine 3) Tyrosine 4) serine | column I a) Hinsbeng test 4) Neutral FeCl3 test c) Ceric Ammonium nitrate d) Hoffman broamide degradation |
Question 4: Match list I & II
![]() |
Recognized as Institute of Eminence by Govt. of India | NAAC ‘A++’ Grade | Upto 75% Scholarships
Ranked #29 in Engineering Category in India by NIRF Ranking 2025 | Highest CTC 1.23 Cr | Average 11.38 LPA | Scholarships Available
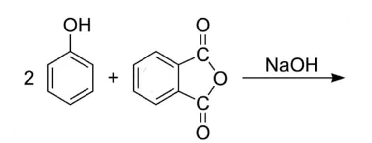
Question 5: (CH3)3C−OH→H+/PhCOOH(Cu/573K) major product
Question 6: An oxide of iron contains 69.9% iron. Find its empirical formula. (Given: Atomic masses Fe=56,O=16 )
a) Fe3O4
b) Fe2O3
c) FeO3
d) FeO
Question 7: Given below are two statements.

In light of above statements, choose correct option.
1 Both Statement I and Statement II are correct
2 Statement I is incorrect, Statement II is correct
3 Statement I is correct, Statement II is incorrect
4 Both Statement I and Statement II are incorrect
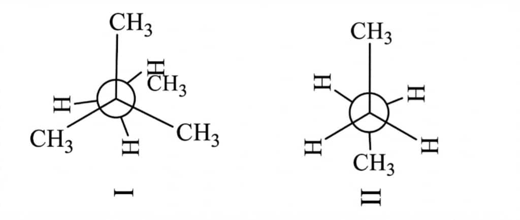
Question 8: 2,6-Diethylcyclohexanone and 2-propyl-6-methyl cyclohexanone are which type of isomers
(A) F.G.I
(B) Metamers
(C) Tautomers
(D) Position isomers
Question 1:
The value of 13−23+33−43+…+153 is equal to:
(1) 1856
(2) 1854
(3) 1786
(4) 1826
Question 2:
∫−π/4π/432cos4θ1+esinθdθ is equal to
(1) 3π+8
(2)3π+4
(3)4π+8
(4) 4π+4
Question 3:
The value of limx→0x2sin2xx2−sin2x is equal to:
Question 4:
If x1,x2,…,x25 be 25 observations such that ∑i=125(xi+5)2=2500 and ∑i=125(xi−5)2=1000. Then, the ratio of Mean and Standard deviation of the given observations is
(1)14
(2)12
(3) 23
(4) 15
Question 5:
In the expansion of (1+αx)26 and (1−αx)28, the coefficient of the middle term is the same, then the value of α is:
(1)722
(2)727
(3)527
(4) 522
Question 6:
a1,a2,a3,…,an are in A.P., and the sum of the first 10 terms is 160.g1,g2,g3,……gn are in G.P., were g1+g2=8. If the first term of A.P. is equal to the common ratio of G.P. and the first term of G.P. is equal to the common difference of A.P., then the sum of all possible values of g1 is equal to
(1)349
(2)289
(3)233
(4)285
Question 7:
Consider e1 and e2 to be roots of the equation x2−ax+2=0. Set of values of a for which e1 and e2 are eccentricities of hyperbolas then a∈[α,β] and set of values of a for which e1 and e2 are eccentricity of a (4) parabola and an ellipse is ( γ,∞ ) then α2+β2+γ2 is equal to
(1) 26
(2) 24
(3) 18
(4) 32
Question 1:
Escape velocity on earth is ve=2gR. A planet of half the radius of earth will density equal to that of earth, the escape speed shall be veN then N is
Question 2:
Find dimensions of GhC5
1. ML2 T−1
2. M0 L0 T1
3. M0LT−1
4. M0 L0 T−1
Question 1:
Given below are two statements:
Statement I: Glucose is found to exist in two different anomeric form α and β
Statement II: In open chain structure C3, C4, C5 of glucose & fructose both have same orientation
In the light of above statements choose the correct option.
1. Both statement I and statement II are correct
2. Statement I is correct but statement II is incorrect
3. Statement I is incorrect but statement II is correct
4. Both statement I and statement II are incorrect
Question 2:
Given below are two statements:
Statement I: The shape of ICl3−is square planar
Statement II: The shape of ClBr2−is pyramidal
In the light of above statements choose the correct option.
1. Both statement I and statement II are correct
2. Statement I is correct but statement II is incorrect
3. Statement I is incorrect but statement II is correct
4. Both statement I and statement II are incorrect
Question 3:
RMgX reacts with H2O and release gas which has volume 1.4dm3/gm at The gas reacts with Na in presence of dry ther to form " Y ". Find molar mass of x & y.
Question 4:
Benzamide, on reaction with Br2+ NaOH, gives benzenamine (Aniline)
On nitration of aniline, a metaproduct is formed more than its ortho Product
Question 5:
Consider the following equilibrium -
2AB⇌ A2+B2
If equilibrium pressure is P and degree of dissociation is α, then Kp is
1α24(1−α)2
2ρ.α24(1−α)
3ρ.α(1−α)
4ρ.α4(1−α)
Question 1:
The coefficient of x2 in the binomial expansion of (2x2+1x)10 is
1. 3260
2. 3360
3. 1760
4. 1890
Question 2:
If it is given that the probability of A becoming captain of the team is 0.8 and B becoming captain is 0.4 . If A becomes captain, then the chances of the team winning the match are 0.6 , and when B becomes captain, then the chances of winning the match are 0.7 . Then the probability that the team wins the match is:
1. 0.76
2. 0.78
3. 0.74
4. 0.84
Question 3:
Let A={2,3} and B={5,6}. Then, the number of relations from A×B to A×B are
1. 212
2. 216
3. 210
4. 215
Question 4:
A bag contains 4 red balls, 6 yellow balls and 5 blue balls. In how many ways we can select 8 balls such that we get at least two balls of each colour, is:
Question 1:
Match the column
| column I Tollen reagent Fehling solution Williamson's Synthesis Bayer's reagents | Column-II (a) Cu2+/OH− (b) Ag(NH3)2OH (c) R−X+RO−Na+ (d) dil KMnO4 |
(A) I-b, II-a, III-c, IV-d
(B) I-a, II-b, III-c, IV-d
(C) I-b, II-a, III-d, IV-c
(D) I-c, II-a, III-b, IV-d
Question 2:
Manganese forms oxide and fluoride with highest oxidation state. The difference in the highest oxidation state of Mn in the oxide and fluoride is
1)1
2)2
3)3
4)4
Question 3:

Compare the bond length of c=0 ?
1) b>a>c
3) a>b>c
2) b>c>a
4) c>a>b
Question 4: Two atom are bonding along Z-axis. How will π∗ orbital look like : ( Z is inter nuclear axis)

Question 5:
| column I a) Ph−NH2 4) Pn−CHO c)Ph OH d) prop-2-ol | Column-II p) Hinsberg reagent 1) Tollen's regent r) Lucas regent s) Pthallen dye test |
Question 6: Which of the following will have the most stable conjugate acid?

JEE Mains April 4 Shift 2 Questions Maths
Question 1:
If the system of equations
x+y+z=5x+2y+3z=9x+3y+λz=μ has infinite number of solutions. Then, the value of λ+μ is
(1) 18
(2) 23
(3) 21
(4) 22
Question 2:
The number of non-negative integer solution of the equation a+b+2c=22, is
(1) 124
(2) 144
(3) 135
(4) 136
Question 3:
Evaluate (0.2)log5α+(0.04)log5β
if α=14+18+116+…
β=13+19+127+…
(1) 4
(2) 8
(3) 12
(4) 10
Question 4:
Let S={z∈C:z2+4z+16=0. Then ∑z∈S|z+3i|2 is equal to:
(1) 38
(2) 23
(3) 42
(4) 27
Question 5:
If expansion of (9x−13x)18, if the coefficient of term independent of x is 221k, then the value of k is
(1) 82
(2) 83
(3) 84
(4) 86
Question 6:
If the quadratic expression (λ+2)x2−3λx+4λ=0,λ≠−2 has two positive roots, then the number of possible integral values of λ is
(1) 2
(2) 4
(3) 1
(4) 3
Question 7:
If 3i,1 are the roots of x3+ax2+bx+c=0a,b,c∈R. Then ∫−11(x3+ax2+bx+c)dx is
(1)203
(2)103
(3)−203
(4)−103
Question 8:
∫11cot−1(1+x+x2)dx is equal to
(1)2tan−12−12ln5
(2)2tan−12+12ln5
(3)12tan−12−15ln2
(4)12tan−12+15ln2
Question 9:
Let x1,x2,x3,…,x10 be 10 observations such that ∑i=110(xi−1)2=90 and ∑i=110(xi+2)2=180. Then, the standard deviation of x1,x2,x3,…,x10 is:
(1)22
(2)3
(3)9
(4)10
Question 1:
Two strings with length ( l1,l2 ), Young's modulii ( Y1,Y2 ) are elongated under two weights as shown. Find Δl1/Δl2.
a. 3
b. 2/3
c. 4/3
d. 1/3

Question 2:
Consider a ring of radius R, rotates about a horizontal axis as shown. Time period of small oscillate
a. 2π5Rg
b. 2πR2g
c. 2π3R2g
d. 2πRg
Question 3:
Two cars, A \& B, are moving on a road with speeds 100 km/h and 80 km/h. A stone is thrown from Car B with speed Vkm/h relative to it. Stone hit the Car A with speed 5 m/s w.r.t Car A. (ignore gravity.). The V is ____ .
a. 18
b. 38
c. 48
d. 20
Question 4:
List-I presents some physical quantity and list-II presents the dimensions. Match the two list appropriately.
a. A→(3);B→(4);C→(2);D→(1)
b. A→(3);B→(1);C→(4);D→(2)
c. A→(2);B→(3);C→(4);D→(1)
d. A→(4);B→(3);C→(1);D→(2)
Question 5:
For a biconvex lens, the focal length is f, and both radii of curvature are R. Find the value of f/R
a. 1.25
b. 1.5
c. 2
d. 2.5
Question 6:
Point P at r=10 cm distance from the centres of two bar magnets, each of magnetic moment 35Am. Magnetic field at P is
a. 1.5 mT
b. 2 mT
c. 2.5 mT
d. 4.5 mT

Question 7:
A solenoid has a core made of relative permeability 400 . The magnetic field produced in the interior of the solenoid is 1.0 T . The magnetizing intensity in SI units is α×105. The value of α is −(μ0=4π×10−7)
a. 5π
b. 14π
c. 116π
d. 7π
Question 1:
The initial radius of a soap bubble is 1 cm . It is slowly inflated to a radius of 2 cm . Calculate the work done in expanding the bubble.
(1) 2.63×10−4 J
(2) 1.46×10−4 J
(3) 5.27×10−4 J
(4) 12.64×10−4 J
Question 2:
A rod is placed along principal axis as shown. Find length of image.

1) 10 cm
2) 5 cm
3) 15 cm
4) 20 cm
Question 3:
Nuclei A and B form a nucleus C. BE/N for A, B and C are 3 MeV,7 MeV and 6 MeV. Then energy produced in
2A3+B4→C10
1) 8 MeV
2) 12 MeV
3) 14 MeV
4) 10 MeV
Question 4:
Find coefficient of friction if time taken by block in rough surface is 50% more than time taken by smooth surface. The distance slide by the mass is same in both the cases.

1) μ=5/7
2) μ=5/9
3) μ=4/7
4) μ=4/9
Question 5:
Two 4 bits binary numbers A=1101 and B=1010 are given in the inputs logic circuit shown in the figure. Find the output Y.

a) 1000
b) 1101
c) 0010
d) 0111
Question 6:
A uniform sphere of mass m and radius R is divided into two equal parts one part of sphere has moment inertia about diameter and moment of inertia of disc of radius 2R and mass m about perpendicular axis through its cente is l2. Find l2l1
1) 10
2) 2
3) 5
4) 1
Question 7:
Given R=100Ω and |XL−Xc|=3α, if power factor of series L-CR AC circuit is 0.5 find α
Question 8:
The increase in the pressure required to decrease the volume ( ΔV ) of water is 6.3×107 N/m2. The percentage decrease in the volume is ____
'Bulk modules of water =2.1×109 N/m2 )
Question 1:
Total number of lone pairs and σ bond pairs formed by central atom ( Xe ) in XeO64−
Question 2:
Match the following
| column I (i) Finkestein reaction ii) Swartz Reaction iii) fitting Reaction iv) Sandmeyer reaction | column II P) NaI /Acetone Q) Na /Dry Ether R) Cu2Cl2/HCl S) SbF3 |
Question 3:
Match the List-I and
| List-I (amino acid) (A) Glutamic acid (B) Lysine (C) Arginine (D) Alanine | List-II (P) E (Q) K (R) R (S) A |
Question 4:
Statement I: BP order is HI<HBr<HCl<HF.
Statement II : MP order is HI<HF<HCl<HBr.
1 Statement I and Statement II are correct
2 Statement I is correct and Statement II is wrong
3 Statement I is wrong and Statement II is correct
4 Statement I wrong and Statement II is correct
Question 5:
Benzene → D CH3∣NC32)C2∣NCa3X 3) K2CC2 V7∣H+
Question 6:
Given below are two statements:
Statement I : Maltose is a non-reducing sugar
Statement II: Lactose is a reducing sugar
1 Both statement I and statement II are. correct
2 Statement I is correct but statement II is incorrect
3 Statement I is incorrect but statement II is correct
4 Both statement I and statement II are incorrect
Question 7:

Question 8:
Consider the following reaction

The color of the compound formed is
1 Violet
2 Red
3 Colourless
4 Pink
Question 9:
If the wavelength of first line of Balmer series and of Brackett series of H are respectively λ1 and λ2 espectively, then value of λ1λ2 is
1 0.16
20.04
30.28
$4 \quad 0.35
Question 1:
Let A={1,2,3,4,5} and B={a,b,c}. Then the number of functions which are not onto is/are:
Question 2:
If z be a complex number such that |z+2|=|z−2| and arg(z−3z+i)=π4 then the value of z is
(1) 3i
(2) −3i
(3) 2i
(4) −2i
Question 3:
Let A be a matrix of order 3 such that |A|=−4. Then, the value of |adj(adj(2adj(A))−1)| is:
(1)1216
(2)1228
(3)1230
(4)1220
Question 4:
The number of ways 4 boys and 3 girls are to be arranged in a row so that all 3 girls are not together, is equal to:
(1) 2320
(2) 4320
(3) 4920
(4) 1440
Question 5:
A line with direction ratios 1,−1,2 intersects the lines x2=y3=z+13 and x+1−1=y−21=x4 at the points P and Q respectively. If the length of the line segment PQ is α, then 225α2 is equal to
(1) 1104
(2) 1204
(3) 1024
(4) 1014
Question 6:
y=tan−1(3cosx−4sinx4cosx+3sinx)+tan−1(x1+1+x2), then find dydx at x=32
(1)57
(2)−57
(3)37
(4)−32
Question 7:
The domain of the function cos−1{4π+2[x]3}, where [ ] is greatest integer function, is
(1)[0,34]
(2)[−14,14]
(3)[−14,34]
(4)[−34,14]
Question 8:
Let Sn be the sum of the first n terms of an A.P and an is the nth term of the A.P. If the first term of the given A.P is 103 and S30=a303. Then, the common difference of the given A.P is:
(1)587
(2)583
(3)487
(4)383
Question1:
In an equilateral prism, the path of a ray is shown. Determine the refractive index.

(a) 1.71
(b) 1.52
(c) 1.39
(d) 1.84
Question 2:
What is the equivalent gate for the circuit?

(a) AND gate
(b) OR gate
(c) NAND gate
(d) NOR gate
Question 3: A soap bubble of radius r=1 mm, liquid of density ρ1=2000 kg/m3. At the instant, the bubble is rising upward with constant velocity v=12 cm/s. Find the coefficient of viscosity (η).
(a) 29 N−S/m2
(b) 49 N−S/m2
(c) 23 N−S/m2
(d) 89 N−S/m2
Question 4: The surface tension of a soap bubble is 0.03 N/m. The work done in increasing the diameter of the bubble from 2 cm to 6 cm is απ×10−4 J. Find the value of α.
Question 5: The surface tension of a soap bubble is 0.03 N/m. The work done in increasing the diameter of the bubble from 2 cm to 6 cm is απ×10−4 J. Find the value of α.
Question 6. Dimensions of G (Universal gravitational constant) in terms of h (Plank's constant), m (mass) and t (time) and L (Length) will be
A. h−1Lm−2t
B. hL−1 m2t
C. hLm−2t−1
D. h−1L−1m2t−1
Question 7. Position of a particle is given by x=asin(50t+π/3). If speed and acceleration for the first time at time t1&t, respectively. Then t1&t2 are
A. π150,π300
B. π300,π75
C. π50,π150
D. π300,π150
Question 8. Determine the minimum μ so that block do not slip with respect to wall of cylinder

Question 1: Arrange following complexes in increasing order of CFSE ( Δ0 )
(a) [Co(H2O)6]2+
(b) [Co(H2O)6]3+
(c) [Co(en)3]3+
1c>a>b
2c>b>a
3a>b>c
4b>a>c
Question 2:

Question 3:
Consider the reaction given below :

A gives positive Fehling's test. Choose the correct relation.
1) Molar weight of A and molar weight of B are same
2) Molar weight of A is greater than molar weight of B
3) Molar weight of B is greater than molar weight of A
4) ) None of these
Question 4:
The surface tension of a soap bubble is 0.03N/m. The work done in increasing the diameter of the bubble from 2 cm to 6 cm is απ×10−4 J. Find the value of α.
Question 5:

Aromatic compound find out the A & E
Question 6: Molarity of H2SO4 solution is 4.9 M . If density of solution is 1.40 g/ml, then molality and mole fraction of solute In solution is
1 m=5.34,χsolute =0.088
2 m=5.34,χsolute =0.072
3 m=5.21,xsolute =0.088
4 m=5.21,χsolute =0.072
Question 7: The correct set that contains all kinds (basic, acidic, amphoteric and neutral) in Oxides is
a) Na2O,N2O,Al2O3 and CO
b) Al2O3,As2O3,CO and NO
c) K2OCl2O7,As2O3 and NO
d) Na2O,K2O,Al2O3 and AS2O3
Question 8:
List-I (S) P | List-II (A) Insulin (B) Threonine (C) Tyrosine (D) Glutamine (E) Proline |
Question 1:
The value of the sum ∑n=1813+23+…+ upto n terms 1+3+5+… upto n terms is:
Question 2:
f(x) is 5 degree polynomial has extremes at x=±1 and limx→0f(x)x3=5, then f(2)−f(−2) is:
Question 3:
Consider the number N=21PQ5304, where P and Q are digits.
The number of ordered pairs ( P,Q ) such that N is divisible by 9 is:
Options:
(1) 11
(2) 12
(3) 10
(4) 8
Question 4:
If
30C30−r+330C31−r+330C32−r+30C33−r=nCr,
Then the value of n is:
Question 5:
Evaluate the sum
131+13+231+3+13+23+331+3+5+⋯ up to 8 terms.
(1) 71
(2) 70
(3) 73
(4) 72
Question 6:
Evaluate the integral
∫020π(sin4x+cos4x)dx
(1) 15π
(2) 15π2
(3) 25π
(4) 25π2
Question 7:
A regular polygon with n sides is given. Pn denotes no. of triangles formed by joining any three points of given regular polygon. If Pn+1−Pn=66, then the sum of all srime divisors of n is
(1) 9
(2) 5
(3) 11
(4) 23
Question 8:
On tossing a coin, 10 points are obtained if a head appears, 5 points are obined if a tail appears. Find the probability of obtaining 30 points.
(1) 4364
(2) 4463
(3) 4168























जेईई मेन 2 अप्रैल शिफ्ट 1 विश्लेषण देखें-
आप नीचे जेईई मेन प्रश्न पत्र नीचे देख सकते हैं:



Question 1:



कैंडिडेट्स अब नीचे दी गई टेबल से जेईई मेन 2026 जनवरी 28 शिफ्ट 1 का क्वेश्चन पेपर पीडीएफ़ आंसर की के साथ डाउनलोड कर सकते हैं। वे जेईई मेन पेपर का इस्तेमाल आंसर चेक करने, स्कोर का अंदाज़ा लगाने और बेहतर तैयारी के लिए एग्जाम पैटर्न को एनालाइज़ करने के लिए कर सकते हैं।
हमने आपको नीचे जेईई मेन 2026 जनवरी 28 के क्वेश्चन पेपर शिफ्ट 1 से सभी सब्जेक्ट्स - फिजिक्स, केमिस्ट्री और मैथ्स के मेमोरी-बेस्ड सवाल भी दिए हैं।
Physics







Q6: An object is being dropped from a height h above the ground. Apart from the force of gravity, an additional drag force, F=-kv, acts on the object. Find the graph of v versus t.



Chemistry






Maths





JEE Mains Jan 23 Shift 1 Question Paper
JEE Mains Jan 23 Shift 2 Question Paper
JEE Mains Jan 22 Shift 1 Question Paper
JEE Mains Jan 22 Shift 2 Question Paper
जेईई मेन 2026 जनवरी 28 शिफ्ट 1 के क्वेश्चन पेपर का पूरा एनालिसिस नीचे दिया गया है। इससे आपको सब्जेक्ट के हिसाब से डिफिकल्टी लेवल के साथ-साथ कुल डिफिकल्टी को समझने में मदद मिलेगी। डेटा आपको नीचे दी गई टेबल में दिया गया है:
| विषय / समग्र | कठिनाई स्तर | लंबाई | समय | प्रश्न प्रकृति | मुख्य अवलोकन |
|---|---|---|---|---|---|
| भौतिक विज्ञान | आसान से मध्यम | लघु से मध्यम | ~60 मिनट | फॉर्मूला + कॉन्सेप्ट आधारित | तीनों में सबसे आसान लेकिन दूसरे शिफ्ट की फिजिक्स की तुलना में थोड़ा कठिन; बैलेंस्ड और स्कोरिंग। |
गणित | आसान से मध्यम | लंबा | ~70–80 मिनट | गणना प्रधान + वैचारिक | सबसे कठिन सेक्शन; इसमें बहुत ज़्यादा समय लगता है; इसके लिए अच्छी सटीकता और सिलेक्शन स्ट्रेटेजी की ज़रूरत होती है। |
| रसायन विज्ञान | मध्यम | मध्यम से लंबा (ऑर्गेनिक) | ~55–60 मिनट | कथन-आधारित + नामित प्रतिक्रियाएँ | ऑर्गेनिक का दबदबा था; फ़िज़िक्स में स्टेटमेंट-टाइप सवाल थे; सॉलिड रिवीजन से इन्हें किया जा सकता था। |
| समग्र | मध्यम से कठिन | समग्र रूप से लंबा | समय प्रबंधन महत्वपूर्ण है | कथन आधारित ट्रेंड जारी रहा। | कठिनाई के मामले में मैथ्स > केमिस्ट्री > फिजिक्स; पिछली कई शिफ्टों से ज़्यादा कठिन |
जेईई मेन 2026 सेशन 1 के प्रत्येक दिन की परीक्षा के समापन के बाद कई कोचिंग संस्थानों द्वारा अनऑफिशियल जेईई मेन क्वेश्चन पेपर और विश्लेषण जारी किया जाता है। उम्मीदवार अनाधिकारिक जेईई मेन प्रश्न पत्र विश्लेषण से अपने संभावित अंकों का अनुमान लगा सकते हैं। उम्मीदवारों की सुविधा के लिए इस पेज पर भी जेईई मेन प्रश्न पत्र विश्लेषण दिया गया है।
जेईई मेन 2026 में सफलता उन लोगों को मिलेगी जो पहले से योजना बनाते हैं और लगातार प्रयास करते रहते हैं। एनटीए परीक्षा समाप्त होने के बाद दोनों सत्रों के जेईई मेन प्रश्न पत्र 2026 जारी करेगा। बीते वर्ष जेईई मेन 2025 जनवरी और अप्रैल सत्र के प्रश्नपत्रों के लिंक इस पेज पर अपडेट किए गए हैं। प्राधिकरण द्वारा जेईई मेन 2026 की सत्र 1 परीक्षा 21, 22, 23, 24 तथा 28 जनवरी, 2026 को आयोजित की जाएगी तथा पेपर 2 परीक्षा 29 जनवरी को आयोजित की जाएगी। दूसरा सत्र 2 से 9 अप्रैल तक आयोजित किया जाएगा।
ये भी पढ़ें: जेईई मेन 2026 जनवरी 21 शिफ्ट 1 प्रश्न पत्र | जेईई मेन 2026 परीक्षा 21 जनवरी शिफ्ट 1 आंसर की
मेमोरी-आधारित प्रश्न जेईई मेन 28 शिफ्ट 1
1.
2. 
3. 
4.
5.
जेईई मेन्स 2026 24 जनवरी शिफ्ट 1 (मॉर्निंग शिफ्ट)। परीक्षा का कुल डिफिकल्टी लेवल मॉडरेट था। आप JEE मेन 24 जनवरी शिफ्ट 1 क्वेश्चन पेपर का डिटेल एनालिसिस और सवाल देख सकते हैं।
कुछ स्मृति-आधारित प्रश्न
Question 1: An electron make transition from higher energy orbit ( n2 ) to lower energy orbit ( n1 ) in Li2+ ion such that n1+n2=4&n2+n1=2. Determine the wavelength emitted in the dimension (in nm )
112.9 nm
211.4 nm
316.7 nm
49.2 nm
Question 2: Which of the following has the lowest bond energy?
O2+,N2+,N2−
Question 3: Choose the correct order of second IE of O, C, N and F
1C<N<F<O
2C<F<O<N
3C<N<O<F
4C<O<F<N
Question 4:
Question 5: Which of the following molecules is secondary alcohol?

1 b, c, e only
2 b, c, d, e only
3 a, c, d, e only
4 a, b, d only
Question 4:

Statement I= II is more stable than (I)
Statement II=As dihedral angle increases, stability decrease
(a) I: correct, II: Incorrect
(b) I: correct, II: correct
(c) I= Incorrect, II: In correct
(d) II= Incorrect. II: correct
24 जनवरी 2026 की सुबह की शिफ्ट की तुलना में, यह शाम की शिफ्ट लगभग वैसी ही थी। मुश्किल के मामले में, 24 जनवरी की शाम की शिफ्ट के क्वेश्चन पेपर के लिए ओवरऑल ऑर्डर केमिस्ट्री > मैथमेटिक्स > फिजिक्स था।
कुछ स्मृति-आधारित प्रश्न
Question 1: statement-1 : Two different aldehyde on cross aldol condensation always give
four product :
statement-II: Among benzaldehyde and acetophenone only acetophenone reacts with semicarbazine.
(1) Statement-I and Statement-II both are correct
(2) Statement-I is incorrect Statement-II is correct
(3) Statement-I is correct Statement-II is incorrect
(4) Statement-1 and Statement-II both incorrect
Question 2: How many linear tripeptides are possible with valine (Val), Glycine (Gly) and Alanine (Ala). No amino acid should be repeated?
1) 8
2) 5
3) 6
4) 4
Question 3: Order of wavelength of absorbed radiation for the below given complexes is,
(a) [Co(NH3)6]3+
(b) [Co(NH3)5H2O]3+
(c) [CoF6]3−
(d) [Co(CN)6]3−
1d>a>c>b
2d>a>b>c
3 d<a<b<c
Question 4: Given :
ΔHatom (CH4)=x kJ mole−1ΔHatom (C2H6)=y kJ mole−1
Find out bond energy ( C−C ) ( kJ/ mole).
1y−x
2y−4x
3y−3x2
4y−2x
Question 5: Which of the following have same bond order and are paramagnetic?
1O2+,N2−
2O2+,O2−
3O2−,N2−
4O2−,N2+
Careers360 ने आपको एग्जाम खत्म होने के तुरंत बाद जेईई मेन 23 जनवरी शिफ्ट 1 के क्वेश्चन पेपर से मेमोरी-बेस्ड प्रश्न नीचे प्रदान किए है। तीनों सब्जेक्ट्स में से कुछ सवाल नीचे जोड़े गए है।
Chemistry
Question 1: The correct order of ionisation energy of Cl,S,P,Al,Si is
1Cl>P>S>Si>Al
2P>Cl>S>Al>Si
3Cl>S>P>Si>Al
4Cl>Al>Si>P>S
Question 2: Given below are two statements
Statement-I : [CoBr4]2− absorbs lesser energy than [CoCl4]2−
Statement-II : [CoCl4]2− has higher crystal field splitting energy then [CoBr4]2−
1 Both S-I and S-II are correct
2 Both S-I and S-II are incorrect
3 S-I is correct and S-II are incorrect
4 S-I is incorrect and S-II are correct
Question 3: In the reaction sequence, what is the mass (in grams) of product (C) formed?

Question 4: Which of the following undergo nitration at fastest rate?
1C6H5NO2
2C6H5CH3
3C6H5COOH
4C6H5Br
Question 5: For the following change,
H2O(ℓ)5∘C→H2O( g)100∘C
Select the correct answer:
1 q = +ve, w = +ve, ΔH=+ve
2q=−ve,w=−ve,ΔH=+ve
3q=+ve,w=−ve,ΔH=+ve
4 q=-v e, w=-v e, ΔH=−ve
Question 6: Correct Sequence of reagent for given

(I) (CH3)3CO,H.B.O,CrO3/H2SO4
(II) (CH3)3CO; O.M.D.M, CrO3/H2SO4
(III) EtO, H.B.O, PCC
(IV) EtO,H+/H2O,KMnO4
Question 7: But-2-yne react with H2,Pd,BaSO4 form X and react with Na , NH3 form Y
Select corrects statements
(I) X&Y are stereoisomers
(II) X has more dipole momentum then Y
(III) X has more B.P. then Y
(IV) X&Y will give different product with O3
(A) I,II & III
(B) II, IV \& III
(C) I,IV & II
(D) All
(IV) EtO−,H+/H2O,KMnO4
Question 8: Propane nitrile react with SnCl2+HCL, followed by hydrolysis form X
But-2-encereact with O3,Zn form Y
X & Y react with OH/ heat form different products which product can not form. ____
Question 9: 137 mg of paranitro toluene react with Sn+HCl form A which react with AcO2 form B and B react with Bromine in presence of acetic acid form C. find out mass of C in mg.
Question 10: Consider the following reaction

Choose the correct option.
1) X⇒CH3CH2CH2CH3Y⇒CH3−CH=CH−CH3 (cis)
2) X⇒CH3−CH=CH−CH3 (cis) Y⇒CH3−CH=CH−CH3 (trans)
3) X⇒CH3−CH=CH−CH3 (cis) Y⇒CH3−CH=CH−CH3 (cis)
4) X⇒CH3−CH=CH−CH3 (trans) Y⇒CH3−CH=CH−CH3 (cis)
Question 11 :Given below are two statements.
Statement I: Sublimation is a purification technique that is used to separate those solid substances which changes from solid to vapour state without passing through liquid state.
Statement II: If external atmospheric pressure is reduced, then boiling point of substance is decreased.
In the light of the above statements, choose the correct option.
1) Both statement I and statement II are correct
2) Both statement I and statement II are incorrect
3) Statement I is correct but statement II is incorrect
4) Statement I is incorrect but statement II is correct
Question 12: Find de - broglie wavelength of O2 molecule.
Given mass of O2 molecule is mO2 and the Temp is 27∘C.
Question 13: Consider the following graph of concentration vs time.

Find half-life of reaction.
1 600 s
2 200 s
3300 s
4100 s
Question 14: Which one give positive Tollen's test.

1)
2)
3)
4) All
Maths
Question 1: A rectangle is formed by lines x=0,y=0,x=3,y=4. A line perpendicular to 3x+4y+6=0 divides the rectangle into two equal parts, then the distance of the line from (−1,32) is
12
21710
365
485
Question 2: Let A={−2,−1,0,1,2,3,4} and R be a relation R, such that R={(x,y):(2x+y)≤−2,x∈A,y∈A}.
Let I = number of elements in R
m= minimum number of elements to be added in R to make it reflexive.
n= minimum number of elem
be added in R to make it symmetric, then (1+m+n) is
1)10
2)17
3)11
4) 14
Question 3: Number of 4-letter words with or without meaning formed from the letters of the word PQRSSSTTUVV is
1) 1232
2) 1400
3) 1422
4) 1162
Physics
Question 1: There are two point charges, one at vertex and other at face as shown the cube. Find electric flux through the cube.
13q/ε0
2q/ε0
33q/4ε0
45q/ε0
Question 2: If a projectile is being projected with speed v at angle 60∘ with horizontal. Find the ratio of speed at the highest point ( vB ) to the speed at final point ( vC ).
1) 3:4
2) 1:3
3) 1: 2
4) 1:12
Question 3: For the given set of measurements, find relative error.
20.00,19.75,18.25,17.01
1) 0.12
2) 0.06
3) 0.09
4) 0.17
Question 4:

Question 5: Find out the correct energy for the grand state or energy transition. (symbols have usual meaning & n→m gives the transition)
1H(−6.8eV)
2Li2+(−13.6eV)
3He2→1+(40.8eV)
4Be23+1(+13.6eV)
22 जनवरी 2026 को आयोजित जेईई मेन्स परीक्षा के पहले सत्र के प्रश्न पत्र समाधान के साथ इस पेज पर उपलब्ध होंगे। प्रसिद्ध कोचिंग संस्थान, आकाश जेईई, श्री चैतन्य आदि 22 जनवरी को आयोजित पहले सत्र की जेईई मेन्स परीक्षा की उत्तर कुंजी जारी करेंगे। उम्मीदवार नीचे कुछ प्रश्न और उत्तर देख सकते हैं।
Ques 3

Ques- 2

Ques 1
Ans- Option 1




2- 
3-

4-

5-

6






पिछले वर्षों के जेईई मेन प्रश्न पत्र यहां उपलब्ध कराए गए हैं। छात्र प्रश्न पत्र डाउनलोड करके देख सकते हैं। पिछले वर्षों के प्रश्न पत्रों के हल भी यहाँ दिए गए हैं, जिनसे प्रश्नों के सही या गलत उत्तरों की जाँच की जा सकती है। जेईई मेन की उत्तर कुंजी जारी कर दी गई है। छात्रों को जेईई मेन 2026 पर ध्यान केंद्रित करना चाहिए। यह तैयारी शीघ्र शुरू करने और मजबूत तैयारी करने का एक महत्वपूर्ण अवसर है।
यहां जेईई मेन 2025 प्रश्न पत्र समाधान के साथ दिया गया है, जिसे आप परीक्षा के बारे में विवरण जानने और इसे विस्तार से समझने के लिए देख सकते हैं।
जेईई मेन सेशन 2 शिफ्ट 1 2 अप्रैल के पेपर में एक

ये भी पढ़ें- जीकप आवेदन 2026 | जीकप परीक्षा तिथि | जीकप रजिस्ट्रेशन 2026 के लिए आवश्यक दस्तावेज़
आईआईटी जेईई 2025 परीक्षा की तैयारी के लिए उम्मीदवार नीचे दी गई तालिका से पिछले वर्ष के जेईई मेन प्रश्न पत्र पीडीएफ लिंक की जांच कर सकते हैं।
क्रम संख्या | पेपर का नाम |
| 1 | जेईई मेन 2025 जनवरी सत्र प्रश्न पत्र विस्तृत समाधान के साथ |
2 | |
3 | |
4 | |
5 | |
6 | |
7 | |
8 | |
9 | |
10 | |
11 | |
12 | |
13 | |
14 | |
15 | |
16 | |
17 | |
18 | |
19 | |
20 |
पिछले 5 वर्षों के जेईई मेन रसायन विज्ञान प्रश्न पत्र हल सहित पीडीएफ
पिछले 5 वर्षों के जेईई मेन भौतिकी प्रश्न पत्र हल सहित पीडीएफ
लेटेस्ट- पिछले 10 वर्षों के नवीनतम जेईई मेन प्रश्न पत्र (हल सहित) पीडीएफ़ डाउनलोड करें
जेईई मेन 2024 का पेपर दो सत्रों में आयोजित किया गया था। आइए दोनों सत्रों के सभी शिफ्ट के पेपरों का विवरण देखें।
जनवरी प्रयास के लिए जेईई मेन 2024 प्रश्न पत्र यहां उपलब्ध कराया गया है। छात्र प्रश्नपत्र देख और डाउनलोड कर सकते हैं। छात्रों को प्रश्नों के समाधान भी मिलेंगे, जिनका संदर्भ लेकर वे उत्तर की सही या गलत जांच कर सकते हैं।
परीक्षा तिथि | शिफ्ट 1 और 2 प्रश्न पत्र हल सहित |
24 जनवरी | |
27 जनवरी | |
29 जनवरी | |
30 जनवरी | |
31 जनवरी | |
1 फरवरी |
जेईई मेन 2024 जनवरी सत्र के आधिकारिक प्रश्न पत्र विस्तृत समाधान के साथ
जेईई मेन 2024 अप्रैल सत्र के आधिकारिक प्रश्न पत्र विस्तृत समाधान के साथ
जेईई मेन 2024 प्रश्न पत्र की सभी 20 शिफ्टों से, आपके पास अभ्यास करने के लिए पिछले वर्ष के कुल 1800 प्रश्न होंगे जो जेईई मेन 2025 के समान पाठ्यक्रम और परीक्षा पैटर्न पर आधारित हैं।
जेईई मेन 2023 का पेपर 2 सत्रों में आयोजित किया गया था। उम्मीदवार जनवरी और अप्रैल दोनों सत्रों के लिए जेईई मेन्स 2023 प्रश्न पत्र (हल सहित) पीडीएफ डाउनलोड कर सकते हैं। आपको सलाह दी जाती है कि जितना हो सके उतने जेईई मेन 2023 ऑल-शिफ्ट प्रश्न पत्र पीडीएफ़ हल करें। ये जेईई मेन 2023 प्रश्न पत्र जेईई मेन के अध्याय-वार पीवाईक्यू पर आधारित हैं।
- |
- |
आप नीचे दी गई ई-पुस्तकों में विस्तृत समाधान के साथ इन सभी शिफ्टों के प्रश्न देख सकते हैं
जेईई मेन 2023 जनवरी सत्र के आधिकारिक प्रश्न पत्र विस्तृत समाधान के साथ
जेईई मेन 2023 अप्रैल सत्र के आधिकारिक प्रश्न पत्र विस्तृत समाधान के साथ
जेईई मेन 2023 में जनवरी और अप्रैल दोनों सत्रों में कुल 24 शिफ्ट थीं। इस प्रकार, छात्र जेईई मेन 2025 पेपर के कठिनाई स्तर और परीक्षा पैटर्न की बेहतर समझ के लिए जेईई मेन के कुल 2160 पिछले वर्ष के प्रश्न पत्रों से अभ्यास कर सकते हैं।
जेईई मेन 2022 का पेपर 2 सत्रों में आयोजित किया गया था। आइए दोनों सत्रों के सभी शिफ्ट के पेपरों का विवरण देखें।
शिफ्ट 1 | शिफ्ट 2 |
शिफ्ट 1 | शिफ्ट 2 |
आप नीचे दी गई ई-पुस्तकों में विस्तृत समाधान के साथ इन सभी शिफ्टों के प्रश्न देख सकते हैं
जेईई मेन 2022 जून सत्र के आधिकारिक प्रश्न पत्र विस्तृत समाधान के साथ
जेईई मेन 2022 जुलाई सत्र के आधिकारिक प्रश्न पत्र विस्तृत समाधान के साथ
जेईई मेन 2022 में जून और जुलाई दोनों सत्रों में कुल 22 शिफ्ट थीं। जेईई मेन 2025 की तैयारी करने वाले उम्मीदवारों को जेईई मेन 2025 परीक्षा में बेहतर समझ और उच्च अंक प्राप्त करने के लिए जेईई मेन 2022 के इन 1980 पिछले वर्ष के प्रश्न पत्रों को अवश्य देखना चाहिए।
जेईई मेन 2021 का पेपर 4 सत्रों में आयोजित किया गया था। आप नीचे दी गई ई-बुक्स में इन सभी शिफ्टों के प्रश्नों को विस्तृत समाधान के साथ देख सकते हैं।
जेईई मेन 2021 फरवरी सत्र के आधिकारिक प्रश्न पत्र विस्तृत समाधान के साथ
जेईई मेन 2021 मार्च सत्र के आधिकारिक प्रश्न पत्र विस्तृत समाधान के साथ
जेईई मेन 2021 जुलाई सत्र के आधिकारिक प्रश्न पत्र विस्तृत समाधान के साथ
जेईई मेन 2021 मार्च सत्र के आधिकारिक प्रश्न पत्र विस्तृत समाधान के साथ
जेईई मेन 2021 में, सभी 4 सत्रों में कुल 26 शिफ्ट थीं। इस प्रकार, जेईई मेन 2025 परीक्षा की तैयारी करने वाले छात्र जेईई मेन 2021 के कुल 2340 पिछले वर्ष के प्रश्न पत्रों से अभ्यास कर सकते हैं। यह गतिविधि छात्रों के लिए बहुत उपयोगी है।
जेईई मेन 2020 जनवरी सत्र के आधिकारिक प्रश्न पत्र विस्तृत समाधान के साथ
जेईई मेन 2020 सितंबर सत्र के आधिकारिक प्रश्न पत्र विस्तृत समाधान के साथ
जेईई मेन 2019 जनवरी सत्र के आधिकारिक प्रश्न पत्र विस्तृत समाधान के साथ
जेईई मेन 2019 अप्रैल सत्र के आधिकारिक प्रश्न पत्र विस्तृत समाधान के साथ
ये भी पढ़ें- जेईई मेन 2013 हल प्रश्नपत्र
एनटीए जेईई मेन्स प्रश्न पत्र पीडीएफ और उत्तर कुंजी पीडीएफ ऑनलाइन मोड में जारी करेगा। उम्मीदवार कुछ सरल चरणों में समाधान के साथ जेईई मेन प्रश्न पत्र (jee mains paper pdf in hindi) की जांच कर सकते हैं। जेईई मेन का प्रश्न पत्र (jee mains paper pdf in hindi) डाउनलोड करने की चरण-दर-चरण प्रक्रिया नीचे दी गई है -
एनटीए जेईई मेन वेबसाइट- jeemain.nta.ac.in पर जाएं
“JEE Main question paper and answer key" (जेईई मेन प्रश्न पत्र और उत्तर कुंजी) लिंक पर क्लिक करें।
आवेदन संख्या और पासवर्ड दर्ज करें।
जेईई मेन प्रश्न पत्र और उत्तर कुंजी स्क्रीन पर प्रदर्शित होगी।
जेईई मेन प्रश्न पत्र और उत्तर कुंजी को पीडीएफ फाइल के रूप में डाउनलोड करें।
आईआईटी जेईई मेन्स (IIT JEE mains) के पिछले वर्ष के पेपर की पीडीएफ Careers360.com पर उपलब्ध है। छात्र परीक्षा की तैयारी के लिए इन आईआईटी जेईई मेन्स पिछले वर्ष के प्रश्न पत्रों को डाउनलोड कर सकते हैं। ये आईआईटी जेईई मेन्स प्रश्न पत्र छात्रों को परीक्षा के कठिनाई स्तर और कक्षा 11 और 12 के विषयों के महत्व के बारे में मार्गदर्शन करते हैं। जेईई मेन्स के पिछले वर्ष के प्रश्न पीडीएफ डाउनलोड लिंक यहां आसानी से उपलब्ध है। तैयारियों की जांच के लिए सभी विषयों की तैयारी करने के बाद जेईई मेन्स के पिछले पेपर को हल करने का सुझाव दिया गया है। एनटीए जेईई मेन्स के पिछले पेपर परीक्षा की तैयारी के लिए एक सहायक संसाधन हैं।
ये भी पढ़ें :
एनटीए जेईई मेन प्रश्न पत्र (NTA JEE Main question paper in hindi) के साथ, अधिकारी आईआईटी जेईई प्रतिक्रिया पत्रक और जेईई मेन आंसर की भी जारी करेंगे। जेईई मेन आंसर की, प्रश्न पत्र और प्रतिक्रिया पत्रक (रिस्पॉन्स शीट) का उपयोग करके, उम्मीदवार आईआईटी जेईई मेन परीक्षा (IIT JEE Main exam in hindi) में अपने संभावित प्राप्त अंकों का अनुमान लगा सकते हैं।
जेईई मेन प्रश्न पत्र पीडीएफ़ (JEE Main question paper pdf in hindi) प्रारूप में आधिकारिक वेबसाइट jeemain.nta.nic.in पर उपलब्ध होगा। प्रश्न पत्र के साथ इसका समाधान भी दिया जाएगा। छात्र अभ्यास करने और परीक्षा की तैयारी में सुधार करने के लिए जेईई मेन प्रश्न पत्र डाउनलोड (JEE Main question paper download) कर सकते हैं। जेईई मेन प्रश्न पत्र (JEE Main question paper in hindi) दिन-वार और शिफ्ट-वार प्रारूप में उपलब्ध होगा, जिससे उम्मीदवारों को मनचाहा परीक्षा पेपर प्राप्त करने में आसानी होगी। जेईई मेन्स परीक्षा पैटर्न और कठिनाई स्तर का अंदाजा लगाने के लिए अभ्यर्थी पिछले वर्ष के आईआईटी जेईई प्रश्न पत्र डाउनलोड (download previous year's IIT JEE question papers with solutions in hindi) कर सकते हैं।
अन्य महत्वपूर्ण लेख:
संयुक्त प्रवेश परीक्षा मेन के लिए उपस्थित होने वाले उम्मीदवारों को अपनी तैयारी के स्तर को और भी बेहतर करने के लिए एनटीए जेईई मेन पिछले वर्ष के प्रश्न पत्र (NTA JEE Main previous year question paper with a solution) को हल करना चाहिए। पिछले वर्ष के जेईई मेन प्रश्न पत्रों (previous year's JEE Main question papers in hindi) को हल करने से परीक्षा पैटर्न, कठिनाई स्तर और परीक्षा में पूछे जाने वाले प्रश्नों के प्रकार के बारे में पता चल जाएगा।
जेईई मेन उत्तर कुंजी (JEE Main answer key in hindi) जारी होने के साथ, उम्मीदवार आईआईटी जेईई प्रश्न पत्र और प्रतिक्रिया पत्रक भी डाउनलोड कर सकेंगे। जेईई मेन प्रश्न पत्र पीडीएफ (JEE Main question paper pdf in hindi), उत्तर कुंजी और प्रतिक्रिया पुस्तिका डाउनलोड करने के लिए, उम्मीदवारों को अपने पंजीकरण नंबर और जन्म तिथि का उपयोग करना होगा। उत्तर कुंजी का उपयोग करके, उम्मीदवार प्रवेश परीक्षा में अपने संभावित सुरक्षित अंकों का अनुमान लगाने में सक्षम होंगे।
अन्य महत्वपूर्ण लेख :
पिछले वर्ष के जेईई मेन प्रश्न पत्रों (JEE Main question papers in hindi) के साथ-साथ छात्रों को सैंपल पेपर भी हल करने को प्राथमिकता देनी चाहिए। जेईई मेन सैंपल पेपर (JEE Main sample papers in hindi) वास्तविक जेईई मेन प्रश्न पत्र के समान पैटर्न में डिजाइन किए गए हैं। सैंपल पेपर्स को हल करने के बाद, छात्रों को इसका ठीक से विश्लेषण करना चाहिए और अपने मजबूत और कमजोर पक्षों की सूची बनाकर उसे और बेहतर करने की कोशिश करनी चाहिए।
आईआईटी जेईई की तैयारी शुरू करने से पहले, उम्मीदवारों को सलाह दी जाती है कि वे जेईई मेन प्रश्न पत्र पैटर्न देखें। एनटीए जेईई मेन पेपर पैटर्न (JEE Main paper pattern in hindi) को आधिकारिक ब्रोशर के साथ jeemain.nta.nic.in पर जारी करेगा।
जेईई मेन निम्नलिखित मोड में आयोजित किया जाता है:
पेपर 1 (बी.ई./बी.टेक.) केवल "कंप्यूटर आधारित टेस्ट (सीबीटी)" मोड में।
पेपर 2ए (बी आर्क): गणित (भाग- I) और एप्टीट्यूड टेस्ट (भाग- II) केवल "कंप्यूटर आधारित टेस्ट (सीबीटी)" मोड में और वहीं ड्राइंग टेस्ट (भाग- III) पेन और पेपर (ऑफ़लाइन) मोड में, जिसे A4 आकार की ड्राइंग शीट पर प्रयास किया जाना है।
पेपर 2 बी (बी प्लानिंग): गणित (भाग- I), एप्टीट्यूड टेस्ट (भाग- II), और प्लानिंग-बेस्ड प्रश्न (भाग- III) केवल कंप्यूटर-आधारित टेस्ट (सीबीटी) मोड में
जेईई मेन के पिछले वर्ष के प्रश्न पत्रों (JEE Main previous year question papers) का अभ्यास करना जेईई मेन की तैयारी का एक महत्वपूर्ण हिस्सा है, और यह उम्मीदवारों को कई लाभ प्रदान करता है। जेईई मेन के पिछले वर्ष के प्रश्न पत्रों (JEE Main previous year question papers) का अभ्यास करने के कई लाभ हैं जिनसे जेईई मेन रिजल्ट बेहतर आता है:
परीक्षा पैटर्न को समझने में मदद करता है: पिछले वर्ष के प्रश्न पत्रों को हल करके, उम्मीदवार परीक्षा में पूछे गए प्रश्नों के प्रकार, विभिन्न विषयों के महत्व और समग्र परीक्षा पैटर्न का अंदाजा लगा सकते हैं। इससे उन्हें परीक्षा के लिए बेहतर रणनीति तैयार करने में मदद मिलती है।
समय प्रबंधन में सुधार: जेईई मेन के पिछले वर्ष के प्रश्न पत्रों (JEE Main previous year question papers in hindi) को हल करने से उम्मीदवारों को परीक्षा प्रारूप से परिचित होने और अपना समय प्रभावी ढंग से प्रबंधित करने में मदद मिलती है। इससे उन्हें यह पहचानने में भी मदद मिलती है कि उन्हें अपनी गति और सटीकता में सुधार के लिए किन अनुभागों पर ध्यान केंद्रित करने की आवश्यकता है।
आत्मविश्वास बढ़ाता है: जेईई मेन के पिछले वर्ष के प्रश्नपत्रों (JEE Main previous year question papers in hindi) का नियमित रूप से अभ्यास करने से उम्मीदवारों को अपना आत्मविश्वास बढ़ाने और वास्तविक परीक्षा से पहले चिंता कम करने में मदद मिल सकती है। वे अपनी ताकत और कमजोरियों की पहचान कर सकते हैं और अपने कमजोर क्षेत्रों को सुधारने पर काम कर सकते हैं।
वास्तविक परीक्षा के लिए अभ्यास प्रदान करता है: जेईई मेन पिछले वर्ष के प्रश्न पत्र (JEE Main previous year question papers in hindi) उम्मीदवारों को वास्तविक परीक्षा में आने वाले प्रश्नों के प्रकार का अभ्यास करने का अवसर प्रदान करते हैं। इससे उन्हें परीक्षा प्रारूप से परिचित होने और वास्तविक परीक्षा के लिए बेहतर तैयारी करने में मदद मिलती है।
रीविजन में मदद करता है: जेईई मेन के पिछले वर्ष के प्रश्न पत्रों (JEE Main previous year question papers in hindi) का अभ्यास तैयारी के दौरान सीखी गई अवधारणाओं का रीविजन करने का एक प्रभावी तरीका है। प्रश्नों को हल करके, उम्मीदवार विषयों की अपनी समझ को मजबूत कर सकते हैं और अपने ज्ञान में किसी भी कमी की पहचान कर सकते हैं।jee main question paper hindi medium क्यों जरूरी हैं?
उम्मीदवारों के लिए jee main question paper hindi medium बहुत आवश्यक है। उम्मीदवार jee mains paper pdf in hindi के माध्यम से वास्तविक परीक्षा की तरह अभ्यास कर सकते हैं। इसके साथ ही उम्मीदवार को अपने कमजोर विषयों तथा मजबूत विषयों का भी पता चलता है। jee main previous year paper in hindi से तैयारी करने से उम्मीवर अपनी तैयारी को पुख्ता कर सकते है। छात्र jee mains question paper pdf download in hindi कर सकते है और परीक्षा से कुछ समय पहले से इन्हे हल करने का प्रयास कर सकते है।
जेईई मेन के लिए अब केवल कुछ ही महीने बचे हैं, इसलिए छात्रों को सलाह दी जाती है कि वे अपने प्रतिस्पर्धियों पर बढ़त हासिल करने के लिए नवीनतम जेईई मेन प्रश्न पत्रों (latest JEE main question papers) और पिछले वर्ष के अन्य पेपरों के साथ अभ्यास करें। यहां, हमने समाधान पीडीएफ के साथ जेईई मेन पिछले वर्ष के प्रश्न पत्रों (JEE main previous years question papers) का एक व्यापक संग्रह प्रदान किया है। इसके अलावा, Careers360 के इस पेज पर पिछले वर्षों के जेईई मेन टेस्ट पेपर के नवीनतम संस्करण के लिए नीचे दिए गए सीधे लिंक को देखें।
लेटेस्ट- बीते 10 वर्षों के जेईई मेन प्रश्न पत्र समाधान पीडीएफ के साथ | जेईई मेन के लिए अच्छी रैंक क्या है?
एनटीए जेईई मेन परीक्षा प्रश्न पत्र (NTA JEE Main exam question paper in hindi) जारी होने से पहले, रेजोनेंस और रिलायबल कोटा जैसे कोचिंग संस्थान अनौपचारिक जेईई मेन प्रश्न पत्र पीडीएफ समाधान (unofficial JEE Main question paper pdf along with solutions in hindi) के साथ जारी करेंगे। ये अनौपचारिक आईआईटी जेईई मेन प्रश्न पत्र (unofficial IIT JEE Main question papers in hindi) उम्मीदवारों के लिए अभ्यास करने और अपनी तैयारी में सुधार करने के लिए एक मूल्यवान संसाधन सिद्ध हो सकता है।
कुल मिलाकर, जेईई मेन प्रश्न पत्र (JEE Main question paper in hindi) को आधिकारिक और अनौपचारिक दोनों तरह से हल करना, परीक्षा के लिए उम्मीदवार की तैयारी रणनीति का एक महत्वपूर्ण हिस्सा है। सत्र-वार जेईई मेन प्रश्न पत्र (Session-wise JEE Main question paper in hindi) आधिकारिक रिलीज के तुरंत बाद इस पेज पर अपडेट किया जाएगा। साल के जेईई मेन प्रश्न पत्र (JEE Main Question Paper in hindi) के बारे में अधिक जानने के लिए पूरा लेख पढ़ें।
पिछले वर्षों के जेईई मेन प्रश्न पत्र यहां उपलब्ध कराए गए हैं। छात्र जेईई मेन प्रश्न पत्र पीडीएफ (JEE Main Question Paper PDF) डाउनलोड कर देख सकते हैं। पिछले वर्ष के प्रश्न पत्रों के समाधान भी यहां उपलब्ध कराए गए हैं, जिसमें प्रश्नों के सही या गलत उत्तर की जांच करने का उल्लेख है। उत्तरों के साथ जेईई मेन प्रश्न पत्र परीक्षा कठिनाई स्तर, जेईई उच्च वेटेज विषयों और बहुत कुछ को समझने में भी मदद करेगा। इसके अलावा उम्मीदवार जेईई मेन सिलेबस भी देख सकते हैं।
उम्मीदवार जेईई मेन का प्रश्न पत्र (question paper of JEE Main in hindi) jeemain.nta.nic.in से डाउनलोड कर सकेंगे। जेईई मेन प्रश्न पत्र पीडीएफ डाउनलोड (JEE Main question paper pdf download) के लिए एनटीए जेईई लॉगिन विवरण जैसे आवेदन पत्र संख्या और जन्म तिथि की आवश्यकता होगी।
Frequently Asked Questions (FAQs)
जेईई मेन 2023, 2022, 2021, 2020, 2019, 2018 के प्रश्न पत्र इस लेख में उपलब्ध लिंक के माध्यम से डाउनलोड कर सकते हैं।
जेईई मेन पिछले वर्ष के प्रश्न पत्रों को हल करके, उम्मीदवार पूर्ण परीक्षा पैटर्न और सबसे महत्वपूर्ण विषयों की जांच कर सकते हैं जिन्हें किसी को तैयार करना चाहिए।
वेटेज के साथ जेईई मेन सिलेबस में भौतिकी, रसायन विज्ञान और गणित के विषय शामिल हैं।
हां, जेईई मेन प्रश्न पत्र अंग्रेजी और हिंदी दोनों भाषाओं में उपलब्ध हैं।
हां, जेईई मेन के पिछले वर्ष के प्रश्न पत्रों को हल करने से महत्वपूर्ण विषयों की पहचान करने, परीक्षा पैटर्न को समझने और समय प्रबंधन कौशल में सुधार करने में मदद मिल सकती है।
हां, एनटीए एक निर्दिष्ट समय अवधि के भीतर जेईई मेन आंसर की को चुनौती देने की सुविधा प्रदान करता है। उम्मीदवारों को चुनौती देने वाले प्रत्येक प्रश्न के लिए एक निश्चित शुल्क प्रति प्रश्न 200 रुपये का भुगतान करना होगा।
उम्मीदवार जेईई मेन प्रश्न पत्रों को समयबद्ध तरीके से हल करके, अपने प्रदर्शन का विश्लेषण करके और उन क्षेत्रों की पहचान करके अभ्यास के लिए उपयोग कर सकते हैं जहां उन्हें सुधार की आवश्यकता है।
नहीं, जेईई मेन प्रश्न पत्र ऑफ़लाइन उपलब्ध नहीं हैं। उम्मीदवार इन्हें एनटीए की आधिकारिक वेबसाइट से पीडीएफ प्रारूप में डाउनलोड कर सकते हैं।
On Question asked by student community
Hello Student,
Kindly use this link.
Hello Student,
I am sharing the college predictor tool with you that will help you determine which are the possible colleges you can get based on your rank in both exams.
Hello Student,
You have a good percentile in JEE Main, and there is a strong chance of getting of you securing a seat at ISI BSDS. This is especially advantageous if you are from a reserved category.
What you need to remember is that the final admission will still depend
Hello Student,
With your rank, getting a seat in mechanical engineering in a top-tier or even a mid-tier NIT or an IIIT is extremely difficult, through JoSAA rounds, because the mechanical engineering cut-off rank at NITs is much before the 50K - 60K rank for OBC candidates.
However, there can
Hello Student,
With your percentile and general rank of 7K and the OBC-NCL rank of 2463, you have a decent enough chance to get seats in some NITs . You might have a good chance if you apply through a state quota. You might not get the top NITs, but
Among top 100 Universities Globally in the Times Higher Education (THE) Interdisciplinary Science Rankings 2026
Last Date to Apply: 18th May | Ranked #43 among Engineering colleges in India by NIRF | Highest Package 1.3 CR , 100% Placements
Recognized as Institute of Eminence by Govt. of India | NAAC ‘A++’ Grade | Upto 75% Scholarships
NAAC A+ Accredited | Among top 2% Universities Globally (QS World University Rankings 2026)
NAAC A++ Grade | Highest Package-30 LPA | 400+ Recruiters
NAAC A++ Grade | Recognized as Category-1 Deemed to be University by UGC | 41,000 + Alumni Imprints Globally

