Ahmedabad University | MTech Admissions 2026
Interdisciplinary, innovative, impactful & viable solutions to real business problems | Industry-Ready | International Immersion
GATE Chemical Engineering Cut Off 2026: IIT Guwahati has released the GATE chemical engineering 2026 cutoff through the result. This year, GATE CE 2026 cutoff for the general category is 25. Aspirants who cross the GATE 2026 cutoff are only eligible for admission to NIT, IIT, IIITs and GITs. The cut-off marks represent the minimum qualifying marks decided by the conducting authority for each paper and category. The GATE 2026 result has been declared on March 19. Candidates will be able to check the GATE chemical engineering cutoff 2026 on this page. In this article, candidates can check this year's cutoff for GATE Chemical Engineering below.
This Story also Contains
The authority released the GATE 2026 CH qualifying cutoff thoguh result. Candidates can check the cutoff for GATE 2026 chemical engineering in the table below.
| GATE Chemical Engineering Cut off 2026 Category Wise | GATE 2026 Cutoff |
|---|---|
GATE Chemical Engineering cut off 2026 for general | 25 |
GATE Chemical Engineering cut off 2026 for OBC | 22.5 |
GATE Chemical Engineering cut off 2026 for SC/ST | 16.6 |
Candidates can check the official cutoff by following these steps:
Visit the GATE 2026 official website.
Click on the GATE Papers link
Select the Cutoff for Chemical Engineering
View the category wise qualifying marks
The results of the analysis of the GATE 2026 Expected CE (Chemical Engineering) Marks vs Rank can be used by its candidates to determine the approximate All India Rank on the basis of their raw marks in the exam.
| GATE CH Rank | GATE 2026 CH Marks |
|---|---|
1 to 10 | 80+ |
11 to 70 | 60 to 79+ |
71 to 260 | 50 to 59+ |
261 to 740 | 40 to 49+ |
741 to 1720 | 30 to 39+ |
1721 to 2630 | 20 to 29+ |
Candidates can check the previous year’s cutoff for GATE Chemical Engineering in the table below.
| Year | General | OBC-NCL | SC/ST |
|---|---|---|---|
2025 | 27.7 | 24.9 | 18.4 |
2024 | 25 | 22.5 | 16.6 |
2023 | 21.4 | 28.8 | 21.4 |
2022 | 25.3 | 22.7 | 16.8 |
Year | General | OBC | SC/ST |
|---|---|---|---|
2025 | 500 | 450 | 333 |
2024 | 600 | 540 | 400 |
2023 | 600 | 540 | 400 |
2022 | 600 | 540 | 400 |
| Year | Max GATE Cutoff | Min GATE Cutoff |
|---|---|---|
2025 | 462 | 418 |
2024 | 447 | 353 |
2023 | 376 | 411 |
After evaluating the answers, the actual (raw) marks obtained by a candidate will be considered for computing the GATE score. For multi-session test papers, the raw marks obtained by the candidates in different sessions will be converted to normalized marks for that particular test paper. Thus, raw marks (for single session test papers) or normalized marks (for multi-session test papers) will be used for computing the GATE score, based on the qualifying marks.
Calculation of Normalized Marks for Multi-Session Papers
The normalized marks of the jth candidate in the ith session, denoted by ?ij, are computed as

Where,
Mᵢⱼ is the actual marks obtained by the j th candidate in the i th session;
?g/t is the average marks of the top 0.1% of the candidates considering all sessions;
?g/q is the sum of the mean and standard deviation marks of the candidates in the paper considering all sessions;
?t/i is the average marks of the top 0.1% of the candidates in the i th session;
Mᵢq is the sum of the mean marks and standard deviation marks of the i th session.
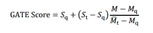
The GATE 2026 score will be computed using the formula given below.

Where,
? is the marks obtained by the candidate (actual marks for single session papers and normalized marks for multi-session papers);
?q is the qualifying marks for the General Category candidate in the paper;
?t is the mean of marks of top 0.1% or top 10 (whichever is larger) of the candidates who appeared in the paper (in case of multi-session papers including all sessions);
?q = 350 is the score assigned to ?q ; and
?t = 900 is the score assigned to ?t .
The GATE 2026 cutoff depends on a number of important determinants which include: the level of difficulty of the exam, the number of test-takers, and availability of seats.
Students performance in the GATE exam
Number of students appearing in the GATE exam
Number of seats available
Difficulty level of the GATE exam
Previous year cutoff
Interdisciplinary, innovative, impactful & viable solutions to real business problems | Industry-Ready | International Immersion
Last Date to Apply: 29th April | Ranked #45 Among Universities in India by NIRF | 1950+ Students Placed 91% Placement, 800+ Recruiters
Frequently Asked Questions (FAQs)
By the analysis of marks vs rank, 40 or above marks in GATE Chemical Engineering are usually equal to an All India Rank of about 261 to 740.
The GATE 2026 CE qualifying cutoff is roughly 25 for general, 22.5 for OBC and 16.6 for SC/ ST categories.
The authority will release the number of students who appeared for the GATE 2026 exam. In the previous year, 14843 candidates appeared for the Chemical Engineering paper.
On Question asked by student community
Check the syllabus first - https://engineering.careers360.com/articles/gate-data-science-and-ai-syllabus . Understand where you stand with your knowledge. Check out any past question papers for this and see the question types.
Start preparing on those lines, take up free mock tests and series. There are plenty available on reddit and telegram and other social
Hello, admission for MTech or PhD depends on your GATE score, cutoff, college and branch you choose. Cutoff is different for each and changes every year.
For more details, please check this link: GATE Cutoff 2026
Students are advised not to carry only their exam admit card and a pen. They can leave the mobile phone and bag outside the exam hall. Few exam centres do offer a designated area inside the premises.
With a 413 rank, 350 gate score under the SC category, you have a fair chance of admission into XH:C6 paper at IIT Delhi. For more details on IIT Delhi cutoff, check here: https://www.careers360.com/university/indian-institute-of-technology-delhi/cut-off
Dear Student,
The college predictor for GATE 2026 at Careers360 is free to use. With GATE 2026 College preditor, you can predict your chances of admisison to top MTech colleges like IITs, NITs, and GFTIs and recruitment in Public Sectro Units (PSUs).
Check how to use the GATE 2026 College
Among top 100 Universities Globally in the Times Higher Education (THE) Interdisciplinary Science Rankings 2026
Highest CTC - 25 LPA | Average CTC - 6.91 LPA | NAAC Grade A+ Accredited
Admissions open for UG & PG programs at Illinois Tech Mumbai
Highest CTC 94.25 LPA | Average CTC 13,24 LPA Approved by UGC & AICTC | Accredited by NBA & NAAC A Grade | 98% Students Placed | 260+ Recruiters
Apply for UG & PG programmes from Victoria University, Delhi NCR Campus
Bristol's expertise meets Mumbai's innovation. Admissions open for UG & PG programmes