Amity University B.Tech Admissions 2026
Among top 100 Universities Globally in the Times Higher Education (THE) Interdisciplinary Science Rankings 2026
जेईई मेन 2026 जनवरी 24 शिफ्ट 1 प्रश्न पत्र सॉल्यूशन सहित पीडीएफ: नेशनल टेस्टिंग एजेंसी (एनटीए) द्वारा जेईई मेन प्रोविजनल आंसर की आधिकारिक वेबसाइट पर 4 फरवरी को जारी कर दी गई है। जेईई मेन जनवरी 24 शिफ्ट 1 परीक्षा में शामिल उम्मीदवार जेईई मेन आधिकारिक आंसर की को जेईई मेन रेस्पॉन्स शीट के साथ डाउनलोड कर 6 फरवरी तक प्रोविजनल जेईई मेन आंसर की को चुनौती दे सकते हैं। जेईई मेन आधिकारिक आंसर की को उम्मीदवार आधिकारिक वेबसाइट के माध्यम से डाउनलोड कर सकते हैं।
ये भी देखें - जेईई मेन 2026 जनवरी 24 शिफ्ट 1 आंसर की पीडीएफ |
This Story also Contains
एनटीए द्वारा 24 जनवरी 2026 को शिफ्ट 1 जेईई मेन परीक्षा का समापन के बाद परीक्षा देकर निकले छात्रों की स्मृति के आधार पर प्रश्न पत्र समाधान सहित पीडीएफ फॉर्मेट में यहां उपलब्ध कराया गया है। इसमें विषयवार पूछे गए प्रश्न, विषयवार भार और कठिनाई स्तर दिए गए हैं। Careers360 के विशेषज्ञों ने 24 जनवरी 2026 के पहले चरण के JEE Main परीक्षा के प्रश्न पत्र को स्मृति-आधारित प्रश्नों के आधार पर तैयार किया है। यदि आप जेईई मेन्स 2026 जनवरी 24 शिफ्ट 1 पेपर का डिफिकल्टी लेवल, पूछे गए प्रश्नों के प्रकार, और जिस टॉपिक से सबसे ज़्यादा सवाल पूछे गए हैं, उसका वेटेज जानना चाहते हैं, तो यह लेख आपके काम का साबित हो सकता है। जेईई मेन आधिकारिक आंसर की 4 फरवरी को जारी कर दी गई है। उम्मीदवार आधिकारिक वेबसाइट के माध्यम से जेईई मेन आंसर की की जांच कर सकते हैं।
ये भी देखें - जेईई मेन 2026 जनवरी 24 शिफ्ट 2 समाधान सहित प्रश्न पत्र
जेईई मेन्स 2026 जनवरी 24 एग्जाम भी दूसरी शिफ्ट की तरह ही पैटर्न पर होने की उम्मीद है। स्टूडेंट्स को जेईई मेन 2026 की आंसर की भी मिलेगी। इस आर्टिकल में स्टूडेंट्स को जेईई मेन 2026 जनवरी 24 के क्वेश्चन पेपर शिफ्ट 1 एग्जाम का पूरा एनालिसिस प्राप्त कर सकते हैं। जेईई मेन एग्जाम समाप्त होने के बाद हमने स्टूडेंट्स के साथ मेमोरी बेस्ड क्वेश्चन पेपर और उसके सॉल्यूशन शेयर कर दिया है, ताकि वे अपनी परफॉर्मेंस को समझ सकें और आने वाली शिफ्ट और अटेम्प्ट्स के लिए तैयारी कर सकें। अपने ड्रीम कॉलेज में एडमिशन मिलने के चांस का अनुमान लगाने के लिए स्टूडेंट्स अपने स्कोर के आधार पर जेईई मेन 2026 कॉलेज प्रेडिक्टर का भी इस्तेमाल कर सकते हैं।
Among top 100 Universities Globally in the Times Higher Education (THE) Interdisciplinary Science Rankings 2026
Last Date to Apply: 30th May | Ranked #43 among Engineering colleges in India by NIRF | Highest Package 1.3 CR , 100% Placements
ये भी पढ़ें: जेईई मेन 2026 टॉप 30 सबसे महत्वपूर्ण टॉपिक और परीक्षा में रिपीट होने वाले प्रश्न
आप नीचे मेमोरी पर आधारित प्रश्न देख सकते हैं:
You can view the memory based questions below:
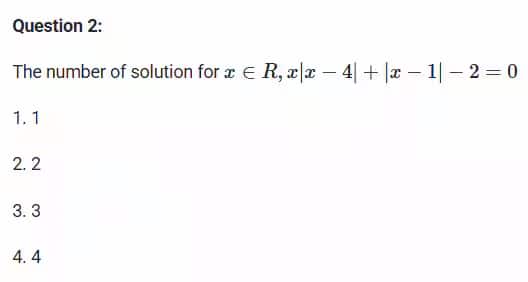
Chemistry










Physics



Q. 4 In an H-like atom ratio of speed in two orbits is 3: 2, then the ratio of energy is:
1 2:3
2.9: 4
3.2: 1
4.5: 3
: 3




1. 5 volts
2. 3 volts
3. 4 volts
4. 6 volts



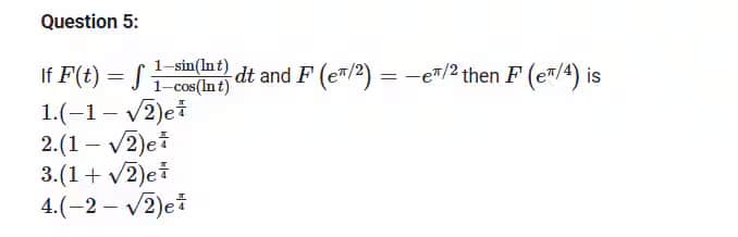
Maths
Maths








Get expert advice on college selection, admission chances, and career path in a personalized counselling session.
जेईई मेन 2026 जनवरी 24 शिफ्ट 1 का क्वेश्चन पेपर और सॉल्यूशन पीडीएफ़, जो मेमोरी बेस्ड होगा, परीक्षा होने के बाद यहाँ उपलब्ध होगा। फिजिक्स, केमिस्ट्री और मैथ्स के सभी सवालों के सॉल्यूशन यहाँ शेयर किए जाएँगे। स्टूडेंट्स जेईई मेन 2026 क्वेश्चन पेपर का उपयोग करके एग्जाम की कठिनाई स्तर एनालाइज़ कर सकते हैं।
जेईई मेन 2026 जनवरी 24 प्रश्न पत्र शिफ्ट 1 उत्तर कुंजी समाधान सहित | JEE Main 2026 January 24 Question Paper Shift 1 Answer Key with Solutions |
हम स्टूडेंट्स को उनकी परफॉर्मेंस चेक करने में मदद करने के लिए ये मेमोरी बेस्ड जेईई मेन 2026 जनवरी 24 के क्वेश्चन पेपर सॉल्यूशन के साथ पीडीएफ़ फॉर्मेट में देंगे, जो भविष्य में बेहतर करने में उनके लिए फायदेमंद हो सकते हैं।
स्टूडेंट्स नीचे दिए गए स्टेप्स को फॉलो करके जेईई मेन 2026 जनवरी 24 शिफ्ट 1 का पेपर पीडीएफ़ डाउनलोड कर सकते हैं। जेईई मेन 2026 जनवरी 24 के क्वेश्चन पेपर को सॉल्यूशन के साथ डाउनलोड करने का यह स्टेप बाय स्टेप प्रोसेस स्टूडेंट्स को अपना समय बचाने और आसानी से पीडीएफ़ एक्सेस करने में मदद करता है।
ऊपर दी गई टेबल में मौजूद जेईई मेन 2026 जनवरी 24 शिफ्ट 1 क्वेश्चन पेपर लिंक पर क्लिक करें।
आपको Careers360 की ऑफिशियल वेबसाइट पर रीडायरेक्ट किया जाएगा।
फिर अपनी रजिस्टर्ड ईमेल आईडी और पासवर्ड का इस्तेमाल करके लॉग इन करें।
नए यूज़र्स को पहले रजिस्ट्रेशन प्रोसेस पूरा करना होगा।
लॉग इन करने के बाद, डाउनलोड पीडीएफ़ ऑप्शन पर क्लिक करें।
जेईई मेन 2026 जनवरी 24 शिफ्ट 1 पेपर आंसर की के साथ आपकी रजिस्टर्ड ईमेल आईडी पर भेजा जाएगा।
रेफरेंस और प्रैक्टिस के लिए जेईई मेन 2026 जनवरी 24 शिफ्ट 1 पेपर पीडीएफ़ देखने और डाउनलोड करने के लिए अपना इनबॉक्स चेक करें।
जेईई मेन 2026 जनवरी 24 शिफ्ट 1 के क्वेश्चन पेपर का पूरा एनालिसिस नीचे दिया जाएगा। इससे आपको सब्जेक्ट के हिसाब से डिफिकल्टी लेवल के साथ-साथ कुल डिफिकल्टी को समझने में मदद मिलेगी। डेटा आपको नीचे दी गई टेबल में दिया गया है:
विषय | कठिनाई स्तर |
जल्द उपलब्ध होगा | |
जल्द उपलब्ध होगा | |
जल्द उपलब्ध होगा | |
समग्र | जल्द उपलब्ध होगा |
हम नीचे जेईई मेन 2026 जनवरी 24 के क्वेश्चन पेपर शिफ्ट 1 से मेमोरी बेस्ड सवाल देंगे। एनालिसिस के साथ, हम आपको सभी सब्जेक्ट्स - फिजिक्स, केमिस्ट्री और मैथ्स का डेटा भी देंगे।
विस्तृत प्रश्न और उनके समाधान जल्द ही नीचे दिए जाएंगे।
Careers360 लाइव एग्जाम एनालिसिस देगा जिसमें जेईई मेन्स 2026 के क्वेश्चन पेपर के डिफिकल्टी लेवल, पेपर पैटर्न और दूसरे एरिया पर एक्सपर्ट फैकल्टी मेंबर्स चर्चा करेंगे और लाइव सेशन का लिंक यहाँ दिया जाएगा।
Careers360 आपको जेईई मेन 2026 जनवरी 24 के सभी शिफ्ट के क्वेश्चन पेपर देगा। इसमें सुबह और शाम दोनों शिफ्ट शामिल होंगी। यह आपको शिफ्ट 1 और शिफ्ट 2 दोनों के बीच डिटेल में तुलना करने में मदद करेगा। ऐसी और जानकारी के लिए नीचे दी गई टेबल देखें:
पैरामीटर | शिफ्ट 1 | शिफ्ट 2 |
कुल कठिनाई स्तर | जल्द उपलब्ध कराया जाएगा | जल्द उपलब्ध कराया जाएगा |
भौतिकी कठिनाई | जल्द उपलब्ध कराया जाएगा | जल्द उपलब्ध कराया जाएगा |
रसायन विज्ञान कठिनाई | जल्द उपलब्ध कराया जाएगा | जल्द उपलब्ध कराया जाएगा |
गणित कठिनाई | जल्द उपलब्ध कराया जाएगा | जल्द उपलब्ध कराया जाएगा |
संख्या-आधारित प्रश्न | जल्द उपलब्ध कराया जाएगा | जल्द उपलब्ध कराया जाएगा |
वैचारिक प्रश्न | जल्द उपलब्ध कराया जाएगा | जल्द उपलब्ध कराया जाएगा |
पेपर की लेंथ | जल्द उपलब्ध कराया जाएगा | जल्द उपलब्ध कराया जाएगा |
समय प्रबंधन | जल्द उपलब्ध कराया जाएगा | जल्द उपलब्ध कराया जाएगा |
गुड अटेम्प्ट (समग्र) | जल्द उपलब्ध कराया जाएगा | जल्द उपलब्ध कराया जाएगा |
जेईई मेन पिछले पांच साल का एनालिसिस (2025-2021) एक पूरी गाइड.
जेईई मेन के पिछले साल के क्वेश्चन पेपर को एनालाइज़ करने से एग्जाम पेपर को डिटेल में समझने में हमेशा मदद मिलती है। स्टूडेंट्स पिछले 10 सालों के जेईई मेन क्वेश्चन पेपर सॉल्यूशन पीडीएफ़ देख सकते हैं ताकि एग्जाम का लेवल पता चल सके।
Question Paper Year |
JEE Main 2025 Question Paper with Solution (January Session) |
यहां, हमने पिछले सालों के जेईई मेन एग्जाम का एनालिसिस दिया है। आप नीचे देख सकते हैं:
On Question asked by student community
Hi,
With around 76 percentile in JEE Main and 75.8% in boards, you still have decent options for CSE/IT, mainly in private colleges and state counselling. Top NITs/IIITs for CSE will be very difficult, but colleges like Jaypee Institute of Information Technology, Thapar Institute of Engineering and Technology, GL Bajaj
Hi,
You can use the following link to predict your JEE Advanced rank: JEE Advanced rank predictor
All the best!
Hi,
With 149 marks in JEE Advanced and OBC-NCL category, your expected category rank can be around 1.5k–2.5k, which is honestly a pretty strong position.
You can realistically get good core branches in older IITs like Indian Institute of Technology Kharagpur, Indian Institute of Technology Roorkee, or Indian Institute of
Hi,
With a Gen-EWS rank around 1.11 lakh and MP home state quota, you actually have decent chances at Shri Govindram Seksaria Institute of Technology and Science for branches like Civil Engineering and Industrial & Production Engineering.
Production looks comparatively safer for your rank, while Civil may depend on later
Hello Dear Student,
Yes, you can participate in JoSAA and CSAB counselling as an SC category student if you satisfy the eligibility criteria.
For SC/ST candidates, the required Class 12 aggregate is generally 65% OR you must be within the top 20 percentile of your board.
Since you have:
Among top 100 Universities Globally in the Times Higher Education (THE) Interdisciplinary Science Rankings 2026
Last Date to Apply: 30th May | Ranked #43 among Engineering colleges in India by NIRF | Highest Package 1.3 CR , 100% Placements
Recognized as Institute of Eminence by Govt. of India | NAAC ‘A++’ Grade | Upto 75% Scholarships | Only JEE Scores Accepted
NAAC A+ Grade | Ranked 503 Globally (QS World University Rankings 2026)
NAAC A++ Grade | Recognized as Category-1 Deemed to be University by UGC | 41,000 + Alumni Imprints Globally
33.5 LPA-Highest Package | Up to 100% scholarship worth 30 CR
