Safe Score for GATE CSE 2026 - GATE candidates looking for a CSE seat in GATE 2026 must check the safe score required to get admission into prestigious IIT, NITs. Based on the previous year's trends and the GATE 2026 difficulty level, the safe score for GATE CSE is expected to be 750+ for admission to top IITs. Whereas, it is 640+ for NIT admission. Candiates can get their GATE 2026 scores through GATE 2026 result which will be released tomorrow, March 19, 2026. For more information, check this article.
This Story also Contains
According to the exam trends and GATE cutoff among other details, the GATE safe score is expected to be 640+ for NITs and 750+ for IITs. Note that admission is based on the score and not on the raw marks. The safe score in GATE 2026 is not the same as the cutoff or qualifying marks. It will only ensure the possibility of successful admission to a good college. The final GATE cutoff score will depend on the overall competition, seat matrix, category, etc.
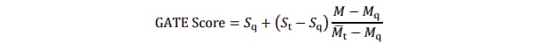
The authority uses the GATE raw marks or normalised marks (only in multiple shifts) to calculate the GATE score. Here is the formula-

Here, the factors mentioned are,

The GATE cutoff 2026 for CSE will be of two types. One is of a qualifying nature, and the other is required for admission. The GATE qualifying marks will be announced with the result. Check the given table for the GATE expected cutoff for CSE in 2026.
Category | GATE Qualifying Marks 2026 for CSE |
General | 30-32 |
OBC | 28- 26 |
SC/ST/PH | 18 - 20.2 |
Until this year’s cutoff for GATE CSE is released, check this table for the last 5 years GATE 2026 cutoff trends. The authority releases the GATE 2026 qualifying marks along with teh result.
Year | Cutoff Value |
2025 |
|
2024 |
|
2023 |
|
2022 |
|
2021 |
|
Candidates can check this field for the expected GATE CSE marks vs rank in the following table. Based on previous year cutoffs and this year’s difficulty level, the tentative GATE marks vs rank for CSE have been determined.
Rank | GATE CSE Marks |
1-10 | 85+ |
10-50 | 75-80 |
50-100 | 72-75 |
100-200 | 68-72 |
200-500 | 62-68 |
500-10000 | 56-62 |
10000-2000 | 50-56 |
2000-5000 | 40-50 |
5000-10000 | 32-40 |
Candidates can get an overview of the GATE score vs rank using the data of 2025 given below. It will provide an idea about the GATE safe score in CS for 2026 session.
GATE Score | GATE Rank |
1000-900 | 1-70 |
900-800 | 73-342 |
800-700 | 351-1282 |
700-600 | 1300-3156 |
600-500 | 3207-6858 |
500-400 | 6962-14740 |
400-300 | 14929-32356 |
300-200 | 32758-48285 |
Based on the previous year's trends, candidates with a score of 750 and above are expected to have better chances of recruitment in PSUs. First of all, the PSU recruitment through GATE in the CSE field is limited. This results in high competition. Hence, the GATE safe score in CSE for PSU recruitment is expected to range between 750 to 800 and may go even higher. In terms of marks, 69+ should fetch good rank and score in the exam.
Frequently Asked Questions (FAQs)
The safe score for GATE CSE is expected to be 750+ for admission to top IITs. Whereas, it is 640+ for NIT admission.
No, 37 marks can be considered average depending on the paper.
The expected cutoff for GATE CSE 2026 for GEN is 30 to 32 marks (passing marks).
40 marks in GATE CSE is average. Candidates should aim to get above 66 to 70 marks in GATE CSE for admission to top colleges.
Based on previous year data, the rank for 70 marks in GATE CSE should be above
On Question asked by student community
Check the syllabus first - https://engineering.careers360.com/articles/gate-data-science-and-ai-syllabus . Understand where you stand with your knowledge. Check out any past question papers for this and see the question types.
Start preparing on those lines, take up free mock tests and series. There are plenty available on reddit and telegram and other social
Hello, admission for MTech or PhD depends on your GATE score, cutoff, college and branch you choose. Cutoff is different for each and changes every year.
For more details, please check this link: GATE Cutoff 2026
Students are advised not to carry only their exam admit card and a pen. They can leave the mobile phone and bag outside the exam hall. Few exam centres do offer a designated area inside the premises.
With a 413 rank, 350 gate score under the SC category, you have a fair chance of admission into XH:C6 paper at IIT Delhi. For more details on IIT Delhi cutoff, check here: https://www.careers360.com/university/indian-institute-of-technology-delhi/cut-off
Dear Student,
The college predictor for GATE 2026 at Careers360 is free to use. With GATE 2026 College preditor, you can predict your chances of admisison to top MTech colleges like IITs, NITs, and GFTIs and recruitment in Public Sectro Units (PSUs).
Check how to use the GATE 2026 College
Among top 100 Universities Globally in the Times Higher Education (THE) Interdisciplinary Science Rankings 2026
Highest CTC - 25 LPA | Average CTC - 6.91 LPA | NAAC Grade A+ Accredited
Admissions open for UG & PG programs at Illinois Tech Mumbai
Highest CTC 94.25 LPA | Average CTC 13,24 LPA Approved by UGC & AICTC | Accredited by NBA & NAAC A Grade | 98% Students Placed | 260+ Recruiters
Apply for UG & PG programmes from Victoria University, Delhi NCR Campus
Bristol's expertise meets Mumbai's innovation. Admissions open for UG & PG programmes