Amity University B.Tech Admissions 2026
Among top 100 Universities Globally in the Times Higher Education (THE) Interdisciplinary Science Rankings 2026
JEE Main Unofficial Answer Key 2026 - Coaching centres and institutions have published the unofficial JEE Main April 8 answer key online. Candidates can check the same from here in this article. The JEE Main unofficial answer key 2026 PDF is provided on the basis of the memory of students. Applicants can refer to the unofficial answer keys to determine their performance in the JEE Main 2026 exam. The unofficial answer keys are released immediately after the exam. Using the answer key, students can estimate their probable scores in the Joint Entrance Examination Main. The official provisional JEE Main answer key will be released today, April 11, 2026. Read the article for the JEE Main 2026 April 8 to 2 shift 1 & 2 answer key.
Latest: JEE Main April 8 shift 2 answer key
This Story also Contains
The JEE Mains 2026 unofficial answer key PDF has been provided on a memory basis for the students. The JEE Main exam dates were from April 2 to 8, 2026. The JEE Main answer key will be released in April, 2026. Read the article for the JEE Main 2026 April 5 to 2 shift 1 & 2 answer key.
Latest: JEE Main April 6 shift 2 answer key
Various coaching centres and institutions have released the JEE Main session 2 answer key. Candidates can check the unofficial answer key for the April 8 to 2 exam shift 1 & 2 from below:






Answer: Option 2

























.png)

















Get expert advice on college selection, admission chances, and career path in a personalized counselling session.

































Answer= Option 2 is correct
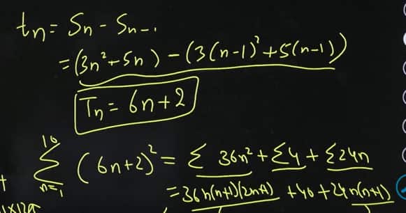
Maths








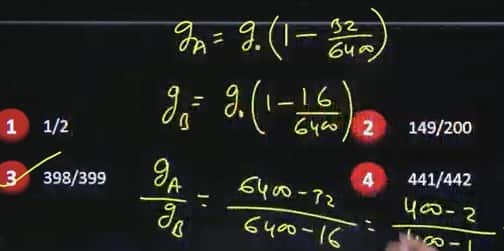
Chemistry





Physics









.png)
.png)

.png)
.png)
.png)
.png)
.png)
Chem A (1)

.png)
.png)
.png)
.png)
.png)
.png)
.png)


.png)
.png)
.png)
.png)
.png)
Chem A (1)

.png)
.png)
.png)
.png)
.png)
.png)
.png)
.png)
.png)
.png)
.png)








.png)
.png)
.png)
.png)
.png)
.png)
.png)
.png)
.png)
.png)
.png)
.png)
.png)
.png)
.png)
.png)
.png)
.png)
.png)
Q)
A)
Q)
A)
Q)
A)
Q)
A)
Q)
A)



































![]()

![]()




Various coaching institutes have releases the JEE Main unofficial answer key for the session 1 exam. Institutes like Careers360, eSaral, Akash institute, Resonance, JEE One, Infinity Learn, etc, have provide the unofficial answer keys below.
Q)
A) option 1








Ans: Option 2


Among top 100 Universities Globally in the Times Higher Education (THE) Interdisciplinary Science Rankings 2026
Last Date to Apply: 18th May | Ranked #43 among Engineering colleges in India by NIRF | Highest Package 1.3 CR , 100% Placements
Check this section for the unofficial answer key for JEE Main 2026 released by top institutes like Aakaash, Resonance, Sri Chaitanya etc.
JEE Main unofficial answer key subjects-wise |
Exam date | Shift 1 | Shift 2 |
January 21 | JEE Main 2026 Unofficial Answer Key for Shift 2 |
The unofficial JEE Main 2026 answer keys and solutions by various coaching institutes like Akash, Infinity, etc, will release the JEE Main unofficial answer keys for all exam dates of the exam. Candidates can check the JEE Mains exam today's question paper with solutions from this page.
Students will also find the JEE Main 2026 question paper with solutions for quick revision and scoring good marks in future. By utilising the JEE Main unofficial answer keys, candidates can also decide if they want to attempt the JEE Main April session. NTA will release the official JEE Main 2026 answer key on the official website a few days after the April session is concluded. Till the official answer key is uploaded on the website, candidates will be able to refer to the JEE Main Unofficial answer keys 2026 to calculate their results.
Candidates can check the previous year JEE Main unofficial question papers by various institutes below.
The unofficial answer key links updated by Resonance are mentioned below.
The links for the unofficial answer keys by Akash Byju will be updated here. The links will be mentioned for both shifts of each day of the JEE Main 2025 exam.
Exam date | Shift 1 | Shift 2 |
January 22 | ||
January 23 | ||
January 24 | ||
January 28 | ||
January 29 | ||
January 30, 2025 | JEE Main 2025 Unofficial Answer Key for Shift 1 | JEE Main 2025 Unofficial Answer Key for Shift 2 |
Candidates can find the links to check the unofficial answer keys day and shift-wise for JEE Main session 1 released by Narayana Institute here.
Exam date | Shift 1 | Shift 2 |
January 22 | JEE Main 2025 Unofficial Answer Key for Shift 1 Maths | JEE Main 2025 Unofficial Answer Key for Shift 2 Maths |
January 23 | JEE Main 2025 Unofficial Answer Key for Shift 1 Maths | JEE Main 2025 Unofficial Answer Key for Shift 2 Maths JEE Main 2025 Unofficial Answer Key for Shift 2 Physics |
January 24 | JEE Main 2025 Unofficial Answer Key for Shift 1 Maths | JEE Main 2025 Unofficial Answer Key for Shift 2 Maths |
January 28 | JEE Main 2025 Unofficial Answer Key for Shift 1 Maths | JEE Main 2025 Unofficial Answer Key for Shift 2 |
January 29 | JEE Main 2025 Unofficial Answer Key for Shift 1 | JEE Main 2025 Unofficial Answer Key for Shift 2 |
January 30, 2025 | JEE Main 2025 Unofficial Answer Key for Shift 1 | JEE Main 2025 Unofficial Answer Key for Shift 2 |
The following steps can be referred to download the JEE Main 2026 unofficial Answer key from the websites of the coaching institutes.
Click on the direct links for the JEE Main 2026 unofficial answer key mentioned above.
The candidate will be redirected to the coaching institute’s official website.
The unofficial answer key will either be directly downloaded or displayed on the screen, and candidates can download the answer key.
Recognized as Institute of Eminence by Govt. of India | NAAC ‘A++’ Grade | Upto 75% Scholarships
Ranked #29 in Engineering Category in India by NIRF Ranking 2025 | Highest CTC 1.23 Cr | Average 11.38 LPA | Scholarships Available
Frequently Asked Questions (FAQs)
Various coaching institutes has released the JEE Main 2026 session 2 unofficial answer keys on their websites.
The NTA will release the JEE Main 2026 official answer key on the official website once both sessions of the exam is concluded.
On Question asked by student community
Hi,
Based on previous years’ cutoff trends and the 2026 JEE Main percentile data, a 92.6 percentile with Rajasthan domicile in the General category gives you a very good chance of getting Electrical Engineering (EE) or Electronics & Communication Engineering (ECE/ExE) at
MBM University
.
Hope it helps!
Hi,
Yes, you can still get admission in IPU BTech if you clear your Maths compartment exam. Since you already have a good JEE Main percentile, the main thing now is clearing the compartment and getting your updated passing result on time.
You just need to make sure that your
Hi Raj Kumar,
As you have not mentioned an approximate or particular JEE Mains rank, you can view the colleges by using
the
JEE Main college predictor
,
a simple and direct tool to predict colleges!
Link for Everything you might need:
Comprehensive Guide
Hello Student,
Kindly use this link.
Hello Student,
I am sharing the college predictor tool with you that will help you determine which are the possible colleges you can get based on your rank in both exams.
Among top 100 Universities Globally in the Times Higher Education (THE) Interdisciplinary Science Rankings 2026
Last Date to Apply: 18th May | Ranked #43 among Engineering colleges in India by NIRF | Highest Package 1.3 CR , 100% Placements
Recognized as Institute of Eminence by Govt. of India | NAAC ‘A++’ Grade | Upto 75% Scholarships
NAAC A+ Accredited | Among top 2% Universities Globally (QS World University Rankings 2026)
Highest CTC 26 LPA | Top Recruiters: Accenture, TCS, Tech Mahindra, Capgemini, Microsoft
NAAC A+ Accredited | Highest CTC 27.25| Average CTC 7.75 LPA | 400+ Recruiters

