Amity University-Noida B.Tech Admissions 2026
Among top 100 Universities Globally in the Times Higher Education (THE) Interdisciplinary Science Rankings 2026
Getting 250+ marks in JEE Main isn't just about studying everything, it also includes studying wisely. One of the smartest study techniques is to perfectly master the JEE Main repeated questions all subjects that can be asked. For the last 15 years or so, JEE Main exam has appeared to follow a very distinct repetition pattern across Physics, Chemistry, and Mathematics; that is, concepts are asked again and again with slight numerical or conceptual changes.
JEE Main 2026 Paper 1 for BE and BTech will have 75 questions, with 25 questions each from Physics, Chemistry, and Mathematics. The paper will include multiple-choice and numerical value questions. Four marks will be awarded for each correct answer, while one mark will be deducted for an incorrect response. There will be no negative marking for unattempted questions. The exam will be conducted for a total of 300 marks, with each subject carrying 100 marks.
This Story also Contains
This article focuses on the Top 20 Repeated JEE Mains Questions that have been appearing consistently in previous years and have a critical role in scoring above 250 marks.
To score 250+ marks in JEE Main 2026, focusing on JEE Main PYQs is important and the chapters that carry high weightage and are frequently repeated in the exam. These chapters afford the maximum possible marks with minimum investment of time and rely heavily on the question patterns from previous years.
Chapter Name | Percentage Distribution |
Co-ordinate geometry | 13.11% |
Integral Calculus | 10.43% |
Limit, continuity and differentiability | 10.28% |
Complex numbers and quadratic equations | 7.04% |
Matrices and Determinants | 7.04% |
Chapter Name | Percentage Distribution |
Optics | 7.54% |
Properties of Solids and Liquids | 7.01% |
Electrostatics | 7.41% |
Current Electricity | 6.85% |
Electromagnetic Induction and Alternating Currents | 6.23% |
Chapter Name | Percentage Distribution |
Organic Compounds containing Oxygen | 6.85% |
Co-ordination Compounds | 5.92% |
p- Block Elements | 5.30% |
Redox Reaction and Electrochemistry | 5.27% |
Hydrocarbons | 5.21% |
Concept Name | Total Number of Questions from last five years |
De-broglie wavelength of an electron | 38 |
Logic Gates | 36 |
Parallel Grouping of Resistance | 33 |
Projectile Motion | 33 |
Amplitude Modulation | 32 |
Concept Name | Total Number of Questions from last five years |
Concentration Terms | 30 |
Mole Concept and Molar Mass | 27 |
Stoichiometry, Stoichiometric Calculations and Limiting Reagent | 25 |
Applications of CFT | 25 |
Reduction and Oxidation Reaction | 25 |
Concept Name | Total Number of Questions from last five years |
Linear Differential Equation | 79 |
Area Bounded by Two Curves | 73 |
Dispersion (Variance and Standard Deviation) | 60 |
Vector (or Cross) Product of Two Vectors | 54 |
General Term of Binomial Expansion | 54 |
Question 1: Let the Mean and Variance of five observations $x_1=1, x_2=3, x_3=a, x_4=7$ and $x_5=b, a>b$, be 5 and 10, respectively. Then the Variance of the observations $n+x_n, n=1,2, \ldots \ldots . .5$ is
1) 17
2) 16.4
3) 17.4
4) (correct) 16
Solution:
Calculate the mean:
$\begin{aligned}
& 5=\frac{1+3+a+7+b}{5} \\
& \Rightarrow a+b=14 \\
& \frac{1+9+a^2+49-b^2}{5}-(5)^2=10 \\
& a^2+b^2=116 \\
& \Rightarrow a=10, b=4
\end{aligned}$
New observations: $2,5,13,11,9$
$\begin{aligned}
& \text { Var }=\frac{4+26+169+121+81}{5}-64 \\
& \text { Var }=80.2-64 \\
& \text { Var } \approx 16
\end{aligned}$
Hence, the answer is option (4).
Question 2: If in the expansion of $(1+x)^p(1-x)^q$, the coefficients of $x$ and $x^2$ are 1 and -2 , respectively, then $\mathbf{p}^2+\mathbf{q}^2$ is equal to:
1) 8
2) 18
3) (correct) 13
4) 20
Solution:
We have:
$
(1+x)^p(1-x)^q = \left({}^p C_0 + {}^p C_1 x + {}^p C_2 x^2 + \ldots\right)\left({}^q C_0 - {}^q C_1 x + {}^q C_2 x^2 - \ldots\right)
$
To find the coefficient of $x$, we consider terms whose degrees add up to 1:
Coefficient of $x = {}^p C_0 \cdot ( - {}^q C_1 ) + {}^p C_1 \cdot {}^q C_0 = -{}^q C_1 + {}^p C_1 = 1
$
Given that $p - q = 1$, so:
$
p = q + 1
$
Now for the coefficient of $x^2$, the relevant terms are:
Coefficient of $x^2 = {}^p C_0 \cdot {}^q C_2 - {}^p C_1 \cdot {}^q C_1 + {}^p C_2 \cdot {}^q C_0 = -2
$
Now express binomial coefficients using formulas:
$
{}^q C_2 = \frac{q(q - 1)}{2}, \quad {}^p C_2 = \frac{p(p - 1)}{2}, \quad {}^p C_1 = p, \quad {}^q C_1 = q
$
Substitute these into the expression:
$
\frac{q(q - 1)}{2} - pq + \frac{p(p - 1)}{2} = -2
$
Multiply the entire equation by 2 to eliminate denominators:
$
q(q - 1) - 2pq + p(p - 1) = -4
$
Simplify:
$
q^2 - q - 2pq + p^2 - p = -4
$
Now substitute $p = q + 1$ into the equation:
$
q^2 - q - 2q(q + 1) + (q + 1)^2 - (q + 1) = -4
$
Expand:
$
q^2 - q - 2q^2 - 2q + q^2 + 2q + 1 - q - 1 = -4
$
Simplify:
$
(q^2 - 2q^2 + q^2) + (-q - 2q + 2q - q) + (1 - 1) = -4
\Rightarrow 0 - 2q = -4 \Rightarrow q = 2
$
Now:
$
p = q + 1 = 3
$
Therefore:
$
p^2 + q^2 = 3^2 + 2^2 = 9 + 4 = 13
$
Hence, the correct answer is option (3).
Question 3: A box contains 10 pens, of which 3 are defective. A sample of 2 pens is drawn at random, and let $X$ denote the number of defective pens. Then the variance of $X$ is
1) $\frac{11}{15}$
2) (correct) $\frac{28}{75}$
3) $\frac{2}{15}$
4) $\frac{3}{5}$
Solution:
x | x = 0 | x = 1 | x = 2 |
$\mathrm{P}(\mathrm{x})$ | $\frac{{ }^7 \mathrm{C}_2}{{{ }^{10} \mathrm{C}_2}}$ | $\frac{{ }^{7} \mathrm{C}_1 \ ^{3}C_1 }{^{10} \mathrm{C}_2}$ | $\frac{{ }^3 \mathrm{C}_2}{{ }^{10} \mathrm{C}_2}$ |
$\begin{aligned} & \mu=\Sigma x_i P\left(x_i\right)=0+\frac{7}{15}+\frac{2}{15}=\frac{3}{5} \\ & \text { Variance }(x)=\Sigma P_i\left(x_i-\mu\right)^2=\frac{28}{75}\end{aligned}$
Hence, the correct answer is option (2).
Question 4: If the area of the larger portion bounded between the curves $x^2+y^2=25$ and $y=|x-1|$ is $\frac{1}{4}(b \pi+c), \mathrm{b}, \mathrm{c} \in \mathbb{N}$, then $\mathrm{b}+\mathrm{c}$ is equal to $\_\_\_\_$ .
Solution :

Given the circles:
$
x^2 + y^2 = 5
$
and
$
x^2 + (x-1)^2 = 25
$
Solve for $x$ in the second equation:
$
x^2 + (x-1)^2 = 25 \implies x=4
$
Also, from the first circle and $y = -x + 1$,
$
x^2 + (-x + 1)^2 = 5 \implies x = -3
$
Calculate the required area $A$:
$
A = 25 \pi - \int_{-3}^{4} \sqrt{25 - x^2} \, dx + \frac{1}{2} \times 4 \times 4 + \frac{1}{2} \times 3 \times 3
$
Evaluate the integral:
$
A = 25 \pi + \frac{25}{2} - \left[ \frac{x}{2} \sqrt{25 - x^2} + \frac{25}{2} \sin^{-1} \frac{x}{5} \right]_{-3}^{4}
$
Calculate the terms inside the bracket:
$
A = 25 \pi + \frac{25}{2} - \left[ 6 + \frac{25}{2} \sin^{-1} \frac{4}{5} + 6 + \frac{25}{2} \sin^{-1} \frac{3}{5} \right]
$
Simplify the expression:
$
A = 25 \pi + \frac{1}{2} - \frac{25}{2} \cdot \frac{\pi}{2}
$
Further simplification yields:
$
A = \frac{75 \pi}{4} + \frac{1}{2}
$
Rewrite as:
$
A = \frac{1}{4} (75 \pi + 2)
$
Identify $b=75$ and $c=2$, then
$
b + c = 75 + 2 = 77
$
Hence, the answer is 77.
Question 5: Let $y=y(x)$ be the solution of the differential equation $\left(x y-5 x^2 \sqrt{1+x^2}\right) d x+\left(1+x^2\right) d y=0, y(0)=0$. Then $y(\sqrt{3})$ is equal to
1) (correct) $\frac{5 \sqrt{3}}{2}$
2) $\sqrt{\frac{14}{3}}$
3) $2 \sqrt{2}$
4) $\sqrt{\frac{15}{2}}$
Solution:
We are given:
$
(1 + x^2) \frac{dy}{dx} + x y = 5x^2 \sqrt{1 + x^2}
$
Divide both sides by $ 1 + x^2 $:
$
\frac{dy}{dx} + \frac{x}{1 + x^2} y = \frac{5x^2}{\sqrt{1 + x^2}}
$
This is a linear differential equation. The integrating factor is:
$
\text{I.F.} = e^{\int \frac{x}{1 + x^2} dx} = e^{\frac{1}{2} \ln(1 + x^2)} = \sqrt{1 + x^2}
$
Multiply both sides of the differential equation by the I.F.:
$
\sqrt{1 + x^2} \cdot \frac{dy}{dx} + \frac{x \sqrt{1 + x^2}}{1 + x^2} y = \frac{5x^2}{\sqrt{1 + x^2}} \cdot \sqrt{1 + x^2}
$
Left-hand side becomes:
$
\frac{d}{dx} \left( y \sqrt{1 + x^2} \right) = 5x^2
$
Integrate both sides:
$
y \sqrt{1 + x^2} = \int 5x^2 dx = \frac{5x^3}{3} + C
$
Use initial condition $ y(0) = 0 $:
$
0 = \frac{5 \cdot 0^3}{3 \cdot \sqrt{1 + 0^2}} + C \Rightarrow C = 0
$
So,
$
y = \frac{5x^3}{3 \sqrt{1 + x^2}}
$
Now evaluate $ y(\sqrt{3}) $:
$
y(\sqrt{3}) = \frac{5 (\sqrt{3})^3}{3 \sqrt{1 + 3}} = \frac{5 \cdot 3 \sqrt{3}}{3 \cdot 2} = \frac{5 \sqrt{3}}{2}
$
$
y(\sqrt{3}) = \frac{5 \sqrt{3}}{2}
$
Hence, the answer is Option (1).
Question 6: If for the solution curve $y=f(x)$ of the differential equation $\frac{d y}{d x}+(\tan x) y=\frac{2+\sec x}{(1+2 \sec x)^2}$, $\mathbf{x} \in\left(\frac{-\pi}{2}, \frac{\pi}{2}\right), \mathrm{f}\left(\frac{\pi}{3}\right)=\frac{\sqrt{3}}{10}$, then $\mathrm{f}\left(\frac{\pi}{4}\right)$ is equal to:
1) $\frac{9 \sqrt{3}+3}{10(4+\sqrt{3})}$
2) $\frac{\sqrt{3}+1}{10(4+\sqrt{3})}$
3) $\frac{5-\sqrt{3}}{2 \sqrt{2}}$
4) (correct) $\frac{4-\sqrt{2}}{14}$
Solution:
Linear Differential Equation -
The linear differential equations are those in which the variable and its derivative occur only in the first degree.
An equation of the form
$
\frac{d y}{d x}+P(x) \cdot y=Q(x)
$
Where P(x) and Q(x) are functions of x only or constant is called a linear equation of the first order.
$
\Rightarrow \quad \mathrm{ye}^{\int P(x) d x}=\int Q(x) e^{\int P(x) d x} d x+C
$
Which is the required solution to the given differential equation.
The term $\mathrm{e}^{\int \mathrm{P}(\mathrm{x}) \mathrm{dx}}$, which converts the left-hand expression of the equation into a perfect differential, is called an Integrating factor (IF).
Thus, we remember the solution of the above equation as
$
y(\mathrm{IF})=\int Q(\mathrm{IF}) d x+C
$
Question 7:
0.1 mol of the following given antiviral compound
$(\mathrm{P})$ will weigh ___________ $\times 10^{-1} \mathrm{~g}$

(Given : molar mass in $\mathrm{g} \mathrm{mol}^{-1} \mathrm{H}: 1, \mathrm{C}: 12, \mathrm{~N}: 14$, O:16, F: 19, I : 127)
Solution:

Element | Count | Atomic Mass (g/mol) | Total Mass (g/mol) |
C | 9 | 12.01 | 108.09 |
H | 10 | 1.008 | 10.08 |
N | 2 | 14.01 | 28.02 |
O | 5 | 16.00 | 80.00 |
F | 1 | 18.998 | 18.998 |
I | 1 | 126.90 | 126.90 |
Total | 372.09 g/mol | ||
Molar mass $=372 \mathrm{gm}$
1 mole = 372 gm
$\therefore 0.1$ mole has $=372 \times 10^{-1} \mathrm{gm}$
Hence, the answer is 372
Question 8: Xg of nitrobenzene on nitration gave 4.2 g of m -dinitrobenzene. $\mathrm{X}=$ $\_\_\_\_$ g. (nearest integer)
[Given : molar mass (in gmol $^{-1}$ ) $\mathrm{C}: 12, \mathrm{H}: 1, \mathrm{O}: 16, \mathrm{~N}: 14$ ]
Solution:
<p><img alt="" src="https://cdn.entrance360.com/media/uploads/2025/05/01/308115.png" style="height:106px; width:250px" /></p>
<p> </p>
<p>Given</p>
<p>X g nitrobenzene</p>
<p>4.2 g m -dinitrobenzene.</p>
<p>MM of nitrobenzene = 123</p>
<p>MM of dinitrobenzene = 168</p>
<p>$\begin{aligned} & \frac{X}{123}=\frac{4.2}{168} \\ & X=3.075 \mathrm{~g}\end{aligned}$</p>
<p><strong>Hence, the answer is 3.075</strong></p>
Question 9: The homoleptic and octahedral complex of $\mathrm{Co}^{+2}$ and $\mathrm{H}_2 \mathrm{O}$ has $\_\_\_\_$ unparied electrons(s) in the $t_{2 g}$ set of orbitals.
Solution:
<p>$\left(\mathrm{Co}\left(\mathrm{H}_2 \mathrm{O}\right)_6\right)^{+2} \rightarrow \mathrm{CO}^{+2} \rightarrow 3 \mathrm{~d}^7$<br />
<br />
<img alt="" src="https://cdn.entrance360.com/media/uploads/2023/06/13/dbvhfdf.png" style="height:105px; width:300px" /><br />
unpaired electrons in $t_{2 g}$ is = (1)</p>
<p><strong>Hence, the answer is (1).</strong></p>
Question 10: The number of paramagnetic species from the following is
$\begin{aligned}
& {\left[\mathrm{Ni}(\mathrm{CN})_4\right]^{2-},\left[\mathrm{Ni}(\mathrm{CO})_4\right],\left[\mathrm{NiCl}_4\right]^{2-}} \\
& {\left[\mathrm{Fe}(\mathrm{CN})_6\right]^{4--},\left[\mathrm{Cu}\left(\mathrm{NH}_3\right)_4\right]^{2+}} \\
& {\left[\mathrm{Fe}(\mathrm{CN})_6\right]^{3-} \text { and }\left[\mathrm{Fe}\left(\mathrm{H}_2 \mathrm{O}\right)_6\right]^{2+}}
\end{aligned}$
Solution:
$
\left(\mathrm{NiCl}_4\right)^{-2} \rightarrow \mathrm{Ni}^{+2} \rightarrow 3 \mathrm{~d}^8
$
$\mathrm{Cl}^{+} \rightarrow$ Weak field layered
paramagnetic(Unpaired $\mathrm{e}^{-}=2$ )
$\left(\mathrm{Cu}\left(\mathrm{NH}_3\right)_4\right)^{2+} \rightarrow \mathrm{Cu}^{+2} \rightarrow 3 \mathrm{~d}^9$
![]()
Unpaired $\mathrm{e}^{-}=1$, paramagnetic
$
\left(\mathrm{Fe}(\mathrm{CN})_6\right)^{-3} \rightarrow \mathrm{Fe}^{+3} \rightarrow 3 \mathrm{~d}^5
$
CN-is strong field ligand
so Unpaired e- = 1
so paramagnetic
$
\left.\left(\mathrm{Fe}_{\left(\mathrm{H}_2 \mathrm{O}\right.}\right)_6\right)^{+2} \rightarrow \mathrm{Fe}^{+2} \rightarrow 3 \mathrm{~d}^6
$
$\mathrm{H}_2 \mathrm{O}$ is weak field ligand
Unpaired e- = 4 Paramagnetic
Hence, the answer is (4).
Question 11: Given below are two statements: one is labeled as Assertion (A) and the other is labeled as Reason(R).
Assertion (A): Ketoses give Seliwanoff's test faster than Aldoses.
Reason (R): Ketoses undergo -elimination followed by the formation of furfural.
In the light of the above statements, choose the correct answer from the options given below :
1) (A) is false but (R) is true
2) (correct) (A) is true but (R) is false
3) Both (A) and (R) are true but (R) is not the correct explanation of (A)
4) Both (A) and (R) are true and (R) is the correct explanation of (A)
Solution:
Seliwanoff’s test – Test to differentiate between ketose and aldose.
In this keto hexose is more rapidly dehydrated to form $5-$hydroxy methyl furfural when heated in an acidic medium which on condensation with resorcinol, results brown colored complex.
Hence, the answer is the option (2).
Question 12: A projectile is projected at $30^{\circ}$ from horizontal with initial velocity $40 \mathrm{~ms}^{-1}$. The velocity of the projectile at $\mathrm{t}=2 \mathrm{~s}$ from the start will be :
(Given $g=10 \mathrm{~m} / \mathrm{s}^2$ )
1) Zero
2) (correct) $20 \sqrt{3} \mathrm{~ms}^{-1}$
3) $40 \sqrt{3} \mathrm{~ms}^{-1}$
4) $20 \mathrm{~ms}^{-1}$
Solution:

$\begin{aligned} & \mathrm{U}_{\mathrm{x}}=40 \cos 30=20 \sqrt{3} \\ & \mathrm{U}_{\mathrm{y}}=40 \sin 30=20 \\ & \mathrm{~V}_{\mathrm{x}}=20 \sqrt{3} \\ & \mathrm{~V}_{\mathrm{y}}=\mathrm{u}_{\mathrm{y}}-\mathrm{gt}=20-10 \times 2=0 \\ & \mathrm{~V}=\sqrt{\mathrm{v}_{\mathrm{x}}^2+\mathrm{v}_{\mathrm{y}}^2}=20 \sqrt{3}=\mathrm{ms}^{-1}\end{aligned}$
Hence, the answer is an option (2).
Question 13: Consider the following sequence of reactions :
Molar mass of the product formed (A) is _________$\mathrm{g} \mathrm{mol}^{-1}$
Solution:
.

Biphenyl (C12 H10)
Molar mass= 120 x 12 x +10 x1 = 154$\mathrm{g} \mathrm{mol}^{-1}$.
Hence, the answer is 154.
Question 14:
The ratio of the de-Broglie wavelengths of proton and electron having the same Kinetic energy: (Assume $\mathrm{m}_{\mathrm{p}}=\mathrm{m}_{\mathrm{e}} \times 1849$ )
1) 1:62
2) 1:30
3) (correct) 1: 43
4) 2: 43
Solution:
$\begin{aligned}
& \lambda=\frac{\mathrm{h}}{\mathrm{P}}=\frac{\mathrm{h}}{\sqrt{2 \mathrm{mK}}} \\
& \frac{\lambda_{\mathrm{P}}}{\lambda_{\mathrm{e}}}=\sqrt{\frac{\mathrm{m}_{\mathrm{e}}}{\mathrm{~m}_{\mathrm{p}}}}=\sqrt{\frac{\mathrm{m}_{\mathrm{e}}}{1840 \mathrm{me}}}=\frac{1}{\sqrt{1840}} \\
& \frac{\lambda_{\mathrm{P}}}{\lambda_{\mathrm{e}}}=\frac{1}{43}
\end{aligned}$
Hence, the answer is the option (3).
Question 15: 5 g of NaOH was dissolved in deionized water to prepare a 450 mL stock solution this solution would be required to prepare 500 mL of 0.1 M solution?
Given: Molar Mass of $\mathrm{Na}, \mathrm{O}$ and H is 23,16 and $1 \mathrm{~g} \mathrm{~mol}^{-1}$ respectively
Solution:
Molarity of stock solution
$\begin{aligned}
& =\frac{5 / 40}{450} \times 1000 \\
& =\frac{50}{4 \times 45}=\frac{10}{36} \mathrm{M} \\
& \mathrm{M}_1 \mathrm{~V}_1=\mathrm{M}_2 \mathrm{~V}_2 \\
& \frac{10}{36} \times \mathrm{V}=0.1 \times 500 \\
& \mathrm{~V}=\frac{50 \times 36}{10}=180 \mathrm{ml}
\end{aligned}$
Hence, the answer is (180).
Question 16:
Three identical resistors with resistance $\mathrm{R}=12 \Omega$ and two identical inductors with self inductance $\mathrm{L}=5 \mathrm{mH}$ are connected to an ideal battery with emf of $
12 \mathrm{~V}
$ as shown in the figure. The current through the battery long after the switch has been closed will be _______ A.
Solution:
After a long time, an inductor behaves as a resistance-less path.
i.e Short all inductor
$\begin{aligned} & \text { Req. }=\frac{\mathrm{R}}{3}=\frac{12}{3}=4 \Omega \\ & \mathrm{I}=\frac{12}{4}=3 \mathrm{~A}\end{aligned}$
Hence, the answer is the option (1).
Question 17: An electron with mass ' $m$ ' with an initial velocity $(t=0) \vec{v}=v_0 \hat{i} \quad\left(v_0>0\right)$ enters a magnetic field $\overrightarrow{\mathrm{B}}=\mathrm{B}_0 \hat{\mathrm{j}}$. If the initial deBroglie wavelength at $\mathbf{t}=\mathbf{0}$ is $\lambda_0$ then its value after time ' t ' would be :
1) $\frac{\lambda_0}{\sqrt{1-\frac{\mathrm{e}^2 \mathrm{~B}_0^2 \mathrm{t}^2}{\mathrm{~m}^2}}}$
2) $\frac{\lambda_0}{\sqrt{1+\frac{e^2 B_0^2 t^2}{m^2}}}$
3) $\lambda_0 \sqrt{1+\frac{\mathrm{e}^2 \mathrm{~B}_0^2 \mathrm{t}^2}{\mathrm{~m}^2}}$
4) (correct) $\lambda_0$
Solution:

$
\lambda=\frac{\mathrm{R}}{\mathrm{P}}=\frac{\mathrm{h}}{\mathrm{mv}_0}
$
speed will not change in magnetic field $\left(\lambda_0\right)$
Hence, the answer is the option (4)
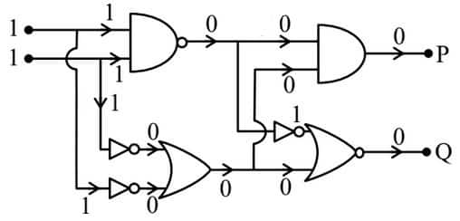
Question 18: In the digital circuit shown in the figure, for the given inputs the P and Q values are :

1) $P=1, Q=1$
2) $P=0, Q=0$
3) $P=0, Q=1$
4) $P=1, Q=0$
Solution:

Hence, the answer is the option (2)
Question 19: Let $\alpha$ be the area of the larger region bounded by the curve y $2=8 x$ and the lines $y=x$ and $x=2$ which lies in the first quadrant. Then the value of $3 \alpha$ is equal to
Solution:
$\operatorname{area}(\alpha)=\int_2^8(2 \sqrt{2} \sqrt{x}-x) d x$

$\begin{aligned} & =\left[2 \sqrt{2} \cdot \frac{2}{3} \mathrm{x}^{3 / 2}-\frac{x^2}{2}\right]^8 \\ & =\frac{4 \sqrt{2}}{3}[8 \times 2 \sqrt{2}-2 \sqrt{2}]-30 \\ & =\frac{28 \times 4}{3}-30 \\ & =\frac{112}{3}-30 \\ & \alpha=\frac{22}{3} \\ & 3 \alpha=22\end{aligned}$
Hence, the answer is 22.
Question 20: Let $y=y(x)$ be the solution curve of the differential equation
$x\left(x^2+e^x\right) d y+\left(e^x(x-2) y-x^3\right) d x=0, x>0$
passing through the point $(1,0)$. Then $y(2)$ is equal to :
1) $\frac{4}{4-\mathrm{e}^2}$
2) $\frac{2}{2+\mathrm{e}^2}$
3) $\frac{2}{2-\mathrm{e}^2}$
4) (correct) $\frac{4}{4+\mathrm{e}^2}$
Solution :
For this given differential equation:
$x\left(x^2+e^x\right) d y+\left(e^x(x-2) y-x^3\right) d x=0$
$x\left(x^2+e^x\right) \frac{d y}{d x}+e^x(x-2) y=x^3$
$\frac{d y}{d x}+\frac{e^x(x-2)}{x\left(x^2+e^x\right)} y=\frac{x^2}{x^2+e^x}$
$P(x) = \frac{e^x(x - 2)}{x(x^2 + e^x)}=\frac{2 x+e^x}{x^2+e^x}-\frac{2}{x}$
$Q(x) = \frac{x^2}{x^2 + e^x}$
The integrating factor:
$\begin{aligned} & \text { IF }=e^{\int p d x}=e^{\int\left(\frac{2 x+e^x}{x^2+e^x}-\frac{2}{x}\right) d x} \\ & =e^{\ln \left(x^2+e^x\right)-2 \ln x} \\ & =e^{\ln \left(\frac{x^2+e^x}{x^2}\right)} \\ & =\frac{x^2+e^x}{x^2}=1+\frac{e^x}{x^2} \\ & y\left(1+\frac{e^x}{x^2}\right)=\int \frac{x^2}{x^2+e^x} \frac{x^2+e^x}{x^2} \\ & y\left(1+\frac{e^x}{x^2}\right)=x+\lambda \\ & y(1)=0 \Rightarrow \lambda=-1 \\ & y=\frac{(x-1) x^2}{x^2+e^x}\end{aligned}$
$y(2)=\frac{4}{4+e^2}$
Hence, the answer is option (4).
Frequently Asked Questions (FAQs)
The top 20 repeated questions typically cover:
Physics: Kinematics, Newton’s Laws of Motion, Work-Energy-Power, Rotational Motion, Thermodynamics, and Semiconductor Devices.
Chemistry: Periodic Table Trends, Chemical Bonding, Coordination Compounds, Organic Chemistry (e.g., Reactions, Isomerism), and Stoichiometry.
Mathematics: Calculus (Differentiation), Coordinate Geometry, Algebra, and Matrices and Determinants.
These questions are highly repeated, and high-weightage problems in previous JEE Mains papers. Solving them ensures the
Speed and Accuracy: Regular practice reduces question-solving time.
Confidence: Experience with the same patterns suggests that accuracy will improve.
Time Allocation: You can quickly solve these questions and focus the remaining time on others.
Recommended books for JEE mains are given below:
Physics: "Concepts of Physics" by H.C. Verma (for theory + problems), JEE Mains-specific problem books.
Chemistry: NCERT Textbooks for Inorganic/Physical Chemistry, "Organic Chemistry" by Morrison and Boyd.
Mathematics: "IIT Mathematics" by M.L. Khanna, Arihant Series for targeted topics.
The common mistakes are:
Over-dependence on shortcuts: Understand the use of these formulas, not just the reproduction of them.
Ignoring weak points: Don't shy away from those difficult topics-look at your mistakes and the concepts again.
On Question asked by student community
Hello aspirant,
With a 90 percentile in JEE Mains and belonging to the EWS category, you have a decent chance for some IIITs, especially newer or lower-ranked ones like IIIT Pune, Nagpur, Vadodara, or Lucknow, or non-CSE branches in better IIITs, but getting top IIITs (like IIIT Hyderabad/Delhi) or core
Hello,
Yes, attendance is compulsory in Class XI and XII.
As per school and board rules, students must maintain minimum attendance, usually around 75%. Schools can stop students from appearing in board exams if attendance is short.
Even if a student is preparing for JEE or any other competitive exam
Hello,
You can find here the direct links to download the JEE Main last 10 years PYQ PDFs from the Official Careers360 website.
Kindly visit this link to access the question papers : Last 10 Years JEE Main Question Papers with Solutions PDF
Hope it helps !
Hello Harika,
Firstly, you cannot prepare for JEE in 8 days if you havent studied before. But still, You can try solving the previous year question papers. Here's a Link for the same
HELLO,
If you are from General category with 57 percent in 12th then to appear for JEE Advanced you need to be in top percentile of your board as the eligibility for JEE advanced you need at least 75 percent in 12th or in the top 20 percentile of your
Among top 100 Universities Globally in the Times Higher Education (THE) Interdisciplinary Science Rankings 2026
National level exam conducted by VIT University, Vellore | Ranked #16 by NIRF for Engg. | NAAC A++ Accredited
Recognized as Institute of Eminence by Govt. of India | NAAC ‘A++’ Grade | Upto 75% Scholarships | Application Deadline: 15th Jan
Ranked #43 among Engineering colleges in India by NIRF | Highest Package 1.3 CR , 100% Placements
100% Placement Record | Highest CTC 54 LPA | NAAC A++ Accredited | Ranked #62 in India by NIRF Ranking 2025 | JEE & JET Scores Accepted
World-class and highly qualified engineering faculty. High-quality global education at an affordable cost