Careers360 Logo
ask-icon
share
    MHT CET 2026 April 16 Question Paper with Solutions PDF (Out): Download Here
    • MHT CET Exam
    • MHT CET 2026 April 16 Question Paper with Solutions PDF (Out): Download Here

    MHT CET 2026 April 16 Question Paper with Solutions PDF (Out): Download Here

    Shivani PooniaUpdated on 18 Apr 2026, 12:25 AM IST

    MHT CET 2026 16 April Question Paper: The MHT CET 16 April Paper has successfully conducted today. Students will be able to download MHT CET 2026 16 April Question Paper free pdf for both shifts from this page. Along with MHT CET 16 April question papers a detailed insight including overall difficulty level, types of questions asked and important topics is also provided. The State Common Entrance Test Cell, Maharashtra is conducting the MHT CET 2026 exam from April 11 to April 19, 2026 for PCM. Students who will be appearing for MHT CET exam on this date can find everything they need right here.

    This Story also Contains

    1. MHT CET April 16 2026 Question Paper with Solutions PDF
    2. MHT CET 16 April 2026 Question Paper Overview
    3. MHT CET 16 April Question Paper Analysis
    4. MHT CET 2026 April 16 Question Paper
    5. MHT CET Previous Years’ Question Paper
    6. MHT CET College Predictor
    7. MHT CET 2026 Marks vs Percentile
    8. MHT CET 2026 Answer Key
    9. MHT CET 2026 Result Date
    MHT CET 2026 April 16 Question Paper with Solutions PDF (Out): Download Here
    MHT CET 2026 April 16 Question Paper with Answer Key – Download Shift 1, 2 Solutions PDF

    MHT CET April 16 2026 Question Paper with Solutions PDF

    Students can download the MHT CET 16 April Question Paper PDF from the link given below. The links for memory based questions of MHT CET 2026 April 16 Question Paper is activated now. You can use it to match your answers and get an idea of your expected score.

    Confused About College Admissions?

    Get expert advice on college selection, admission chances, and career path in a personalized counselling session.

    Book a Counselling Slot
    Select Date
    Pick a Slot

    MHT CET 16 April 2026 Question Paper Overview

    Refer to the table given below to get the complete overview of MHT CET April 16 paper including MHT CET question paper pattern, exam structure, and conducting body.

    Mode of Examination

    Computer-Based Test

    Sections

    There will be two sections

    • Section 1- Physics and Chemistry

    • Section 2- Mathematics (For PCM)

    • Section 3- Biology (For PCB)

    Exam Duration

    180 minutes (90 for each section)

    Total number of Questions

    150 (50 questions for each subject)

    Types of Questions

    Multiple Choice Questions

    Total Marks

    200

    Language of Examination

    • Mathematics will be in English

    • For Physics, Chemistry, and Biology, students have to choose between English, Urdu, and Marathi

    Negative Marking

    No negative marking

    Conducting Body

    State Common Entrance Test Cell, Maharashtra

    MHT CET 16 April Question Paper Analysis

    A detailed analysis of the MHT CET 2026 April 16 question paper is provided below. This analysis covers the difficulty level of MHT CET 16 April question paper, the types of questions, most repeated topics and MHT CET high weightage chapters .

    MHT CET 16 April Shift 1 Question Paper

    The analysis of MHT CET 2026 PCM 16 April Shift 1 question paper is updated below. Keep visiting this section for detailed analysis.

    Subject

    Difficulty Level

    Key Observations

    Overall

    Moderate

    The overall difficulty level of the MHT CET April 16 exam was moderate to slightly tough with some calculation based and time taking questions. Overall MHT CET 2026 April 16 Paper was balanced.

    Physics

    Moderate

    Calculation based and time taking questions were asked in MHT CET 2026 April 16 Shift 1 Paper Physics Section. Questions were tricky and formula based. The level of some physics questions is comparable to JEE Mains

    Chemistry

    Easy to Moderate

    In chemistry statement based questions were asked. Some questions from Organic Chemistry were tricky

    Overall difficulty level: Mathematics>Physics>Chemistry

    Mathematics

    Moderate to Slightly Lenghty

    In MHT CET 2026 April 16 Paper Mathematics section questions were formula-based and calculative. Some questions were based on mixed concepts

    MHT CET 16 April Shift 2 Question Paper

    The MHT CET 16 April Shift 2 question paper analysis is updated below.

    Subject

    Difficulty Level

    Key observations

    Overall

    Moderate

    MHT CET April 16 Shift 2 paper was easy as compared to morning shift

    Physics

    Easy to Moderate

    Physics section was Easy to Moderate with some calculation based questions

    Chemistry

    Moderate

    Some questions in chemistry were trick and statement based

    Mathematics

    Moderate to Lenghty

    Questions from maths section were lengthy and time consuming

    MHT CET 2026 April 16 Question Paper

    The MHT CET 16 April 2026 question are updated below. It will help students understand the paper pattern and the types of questions for better preparation.

    Memory Based Questions of MHT CET April 16 Shift 2 Paper

    Physics

    Question 1: A potentiometer wirs is given with potential of 8 V and 100 cm length. What will be potential at distance x ?

    Question 2: An capacitance is added in (LR)circuit what will be effect on impedance(Z)

    A) Increase

    B) Decrease

    C) remaining the same or

    D) first inc then dec.

    Question 3: AC circuit : VOLTAGE EQUATION - E $=\mathrm{Eo} \sin (\mathrm{wt})$ WHAT WILL BE TIME WHEN THE POTENTIAL BECOMES HALF OF MAXIMUM VALUE for first time?

    Question 4: A solid sphere is placed (somewhere) and the moment of inertia was asked at distance R/2 from its centre.

    Question 5: Wave on string: A string is fixed on both end.its in third overtone. Find the number node and antinode in it.

    Memory Based Questions of MHT CET April 16 Shift 1 Paper

    Chemistry

    Question 1) Which of the following statements is incorrect regarding a salt bridge?

    A) It maintains electrical neutrality in the electrochemical cell
    B) It allows the flow of electrons through the solution
    C) It completes the circuit by allowing ion migration

    D It prevents mixing of the two electrolyte solutions

    Question 2) Which of the following is used as a dopant in an n-type semiconductor?

    A) Boron

    B) Aluminium

    C) Phosphorus

    D) Gallium

    Question 3) What is the number of moles present in 5 kg of water

    A) 55.5 mol

    B) $\quad 277.8 \mathrm{~mol}$

    C) 2777.8 mol

    D) 5555.6 mol

    Question 4) What is the number of hydrogen atoms present in $\mathbf{8 . 4 ~ g}$ of urea

    A) $3.01 \times 10^{23}$
    B) $\quad 6.02 \times 10^{23}$
    C) $1.204 \times 10^{24}$

    D) $2.408 \times 10^{24}$

    Question 5) Astatine is a member of which group in the periodic table?

    A) Group 15

    B) Group 16
    C) Group 17
    D) Group 18

    Question 6) IUPAC name of $\mathrm{CH}_3 \mathrm{CH}=\mathrm{CHCH}=\mathrm{CHCOOH}$

    Question 7) What is the coordination number of each atom in a Face-Centred Cubic (FCC) structure?

    A) 4

    B) 6

    C) 8

    D) 12

    Question 8) Which of the following halogen derivatives forms the poisonous gas phosgene when exposed to air and light?

    A) Chloroform $\left(\mathrm{CHCl}_3\right)$
    B) Carbon tetrachloride ( $\mathrm{CCl}_4$ )
    C) Methyl chloride $\left(\mathrm{CH}_3 \mathrm{Cl}\right)$

    D) Ethyl bromide $\left(\mathrm{C}_2 \mathrm{H}_5 \mathrm{Br}\right)$

    Question 9) Which of the following halogen derivatives forms poisonous phosgene gas when it comes in contact with air and light?
    A) $\mathrm{CHCl}_3$

    B) $\mathrm{C}_6 \mathrm{H}_5 \mathrm{Cl}$
    C) $\mathrm{PCl}_3$
    D) $\mathrm{CH}_2 \mathrm{Cl}_2$

    Question 10). What is the product formed when HBr reacts with ethene?

    A) But-2-ene

    B) Hex-3-ene

    C) Ethene

    D) Bromoethane

    Physics

    Question 1) In a Cyclic process workdone equal to what

    Question 2) Power factor given $\mathrm{x} / 10$, given R , inductive reactance, capacitive, then find X

    Question 3) Emf, change in current mutual inductance, is given. Find the change in time

    Question 4) If D increases, then what will happen to fringe width

    Question 5) If the frequency of a bulb is decreased, then the brightness will become

    Mathematics

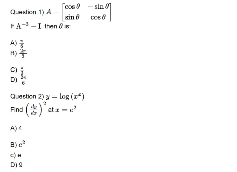
    Question 1) $A-\left[\begin{array}{cc}
    \cos \theta & -\sin \theta \\
    \sin \theta & \cos \theta
    \end{array}\right]$
    If $\mathrm{A}^{-3}-\mathrm{I}$, then $\theta$ is:

    A) $\frac{\pi}{6}$
    B) $\frac{2 \pi}{3}$

    C) $\frac{\pi}{3}$
    D) $\frac{2 \pi}{6}$

    Question 2) $y=\log \left(x^x\right)$
    Find $\left(\frac{d y}{d x}\right)^2$ at $x=e^2$

    A) 4

    B) $e^2$
    c) e
    D) 9

    Question 3) Approx. (0.007) ${ }^{1 / 3}$

    A) $\frac{21}{120}$
    B) $\frac{23}{120}$
    C) $\frac{29}{120}$
    D) $\frac{31}{120}$

    Question 4) $I=\int \frac{x^2}{\left(x^2+2\right)\left(x^2+3\right)} d x$

    MHT CET Previous Years’ Question Paper

    Along with the MHT CET 16 April 2026 Question Paper students can also refer to the Previous year's MHT CET question papers that help them understand the exam pattern and important topics. Refer to the table below to get previous years' question papers of MHT CET.

    MHT CET College Predictor

    After the exam students were very curious whether they were going to get admission into their dream college or not. To solve this problem refer to the MHT CET 2026 College Predictor Tool which helps you to estimate which engineering colleges you are going to get based on your MHT CET 2026 score.

    MHT CET 2026 Marks vs Percentile

    Students can refer to the table given below to get a rough idea about MHT CET 2026 marks vs percentile. This table is prepared on the basis of MHT CET previous year papers. The figures provided below are not accurate; this is an approximated.

    MHT CET Marks

    MHT CET Percentile

    160+

    99.50+

    140-160

    99+

    130-140

    98-99

    110-130

    96-98

    100-110

    95-96

    95-100

    92-95

    80-90

    85-95

    60-80

    65-85

    55-65

    60-70

    Below 55

    Below 70

    MHT CET 2026 Answer Key

    Students can refer to MHT CET 2026 April 16 Paper answer key that will be available here after the conclusion of exam. Using this MHT CET 2026 answer key students can cross check their answers and estimate their expected scores.

    MHT CET 2026 Result Date

    The MHT CET 2026 result will be declared after all the shifts of April 11 to 19 for PCM and April 21 to 26 for PCB are over. Once the MHT CET 2026 result is out, you can check your scorecard and percentile on the official portal by logging in with your application number and date of birth. This section will be updated with the exact result date as soon as the CET Cell makes an official announcement.

    Frequently Asked Questions (FAQs)

    Q: Where students can download the MHT CET 16 April question paper?
    A:

    The MHT CET 16 April 2026 question paper will be available for download on this page after the exam. Students will be able to download both shifts. 

    Q: How many questions are there in the MHT CET 2026 PCM 16 April Shift 1 Question Paper?
    A:

    The MHT CET 16th April Question Paper has 150 questions in total. 50 from each subject. 

    Q: How was the difficulty level of the 16 April MHT CET 2026 1 Shift 2 paper?
    A:

    The difficulty level of mht cet 16 april shift 2 question paper will be updated here after the exam. 

    Q: For how many marks will the 16 April MHT CET question paper be conducted?
    A:

    The total marks for the PCM paper are 200. Mathematics carries 100 marks, while Physics and Chemistry are worth 50 marks each.

    Articles
    |
    Upcoming Engineering Exams
    Ongoing Dates
    IEMJEE Exam Date

    5 Jan'26 - 30 May'26 (Online)

    Ongoing Dates
    CITKEE Application Date

    9 Mar'26 - 25 May'26 (Online)

    Certifications By Top Providers
    Online Certificate Course on Cyber Laws
    Via Indian Law Institute, New Delhi
    Basic Programming using Python
    Via Indian Institute of Technology Bombay
    Software Engineering Essentials
    Via Technical University of Munich, Munich
    Material Science
    Via Indira Gandhi National Open University, New Delhi
    B.Tech Engineering Technology
    Via Birla Institute of Technology and Science, Pilani
    Principles of Digital Communications
    Via Indian Institute of Technology Delhi
    Udemy
     1525 courses
    Swayam
     817 courses
    NPTEL
     773 courses
    Coursera
     697 courses
    Edx
     608 courses
    Explore Top Universities Across Globe

    Questions related to MHT CET

    On Question asked by student community

    Have a question related to MHT CET ?

    Hello,

    MHT-CET is a computer based test conducted only at allotted exam centers, not from home or personal PCs, Students from outside Maharashtra can appear for the exam at selected centres during application. Non-Maharashtra candidates usually can't claim state quota seats through CAP and often use JEE Main scores instead.

    HEY THERE!!!
    The official website for MHT CET (Maharashtra Common Entrance Test) is:

    • https://cetcell.mahacet.org
    • All official information about MHT CET 2025 is available here, including application forms, admit cards, answer keys, results, and counseling information.


    I GOT 72 persentile (GOBCH) in MHTCET and I want to pursue BTech CSE, AI, AI-DS,ai-ml,IT, (anyone) so which college can I get in Pune

    Hey,

    As per the MHT CET syllabus 2024 with weightage PCM and PCB prescribed by the Maharashtra CET Cell, 20 percent weightage is given to the Class 11 topics and the remaining 80 percent to the Class 12  topics of the Maharashtra board.

    For detailed information about weightage chapter wise

    Hello aspirant,
    Certainly, admission to Bachelors in Physiotherapy (BPT) programs is possible through the MHT CET Exam by meeting the necessary cutoff. If you are a Maharashtra resident with a valid domicile, you are eligible to take the MHT CET exam for BPT admission. Alternatively, NEET and CET exams are